出国留学网专题频道高考全国统考栏目,提供与高考全国统考相关的所有资讯,希望我们所做的能让您感到满意!
出国留学高考网为大家提供2017高考全国统考时间安排:6月7日-8日,更多高考资讯请关注我们网站的更新!
2017高考全国统考时间安排:6月7日-8日
据教育部网站消息,教育部办公厅发布的《关于2017年普通高等学校招生全国统一考试全国统考科目时间安排的通知》称,2017年高考时间为6月7日、8日,各省(区、市)考试科目名称与全国统考科目名称相同的必须与全国统考时间安排一致。
2017年普通高等学校招生全国统一考试全国统考科目的考试时间安排为:
6月7日 9:00 至11:30 语文;15:00至17:00 数学。
6月8日 9:00 至11:30 文科综合/理科综合;15:00至17:00 外语,有外语听力测试内容的应安排在外语笔试考试开始前进行。
《通知》强调,各省(区、市)考试科目名称与全国统考科目名称相同的必须与全国统考时间安排一致,并及时向社会公布考试科目时间安排。
猜你喜欢:
| 2017年高考热点 | |
2017年全国各省高考成绩查询入口汇总![]() | |
出国留学网高考网为大家提供【俞敏洪】全国高考必须实现统考 才能不受户籍的限制,更多高考资讯请关注我们网站的更新!
【俞敏洪】全国高考必须实现统考 才能不受户籍的限制
全国政协十二届四次会议今天下午在北京人民大会堂开幕。会议开幕前,全国政协委员、新东方教育科技集团董事长俞敏洪在大会堂前接受了记者采访。
俞敏洪谈及教育问题时说,全国高考必须实现统考,这样才能不受户籍的限制。这是一个流动社会最应该做的事情。在被问及学区房问题时,他表示,学区房本身就是一个错误的概念,是一种特权概念。他认为,未来如何解决移动人口的孩子教育问题,应该是国家教育部门的重点议题。
俞敏洪说,“教育扶贫中国一直在做,只要循序渐进地往前做就可以了,主要是教育政策的改变和侧重点的改变”,并表示教育扶贫目前差在资源的不均衡分配上。
小编精心为您推荐:
| 高考语文考点 | 高考数学考点 | 高考英语考点 | ... |
03-19
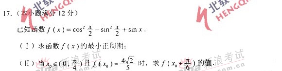
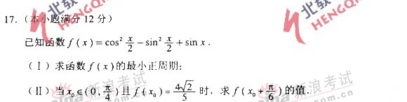
以下《2008湖南高考全国统考数学文真题和参考答案》由出国留学网高考频道为您倾情提供,希望对您的复习和模拟考试有所帮助!
【正确答案】
【正确答案】
【正确答案】
【正确答案】
【正确答案】
【正确答案】
【正确答案】
【正确答案】
...
03-19
回顾以往试题资料把握好高考命题思路及做题方法,是今年高考生需要关注的事情。liuxue86网高考频道为您搜集了最新最全的2008浙江高考全国统考语文科真题和参考答案,助力您打好今年高考这场战斗,取得最后的顺利!
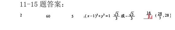
【正确答案】
【正确答案】
【正确答案】
【正确答案】
【正确答案】
【正确答案】
【正确答案】
【正确答案】
【正确答案】03-19
以下《2008江苏高考全国统考数学真题和参考答案》由出国留学网高考频道为您倾情提供,希望对您的复习和模拟考试有所帮助!
【正确答案】
【正确答案】
【正确答案】
【正确答案】
【正确答案】
【正确答案】
【正确答案】
【正确答案】
【正确答案】
03-17
查看历年的高考真题对于2014年高考生来说是比较好的方式,能较好的把握住2014年高考命题的思路和方向,也能检验一下自己对于知识的掌握程度。出国留学网高考频道特为您提供了湖南高考全国统考数学文真题试卷2008,希望祝您打好2014年高考战!
03-17
03-17
出国留学网高考频道全程关注高考多年,为您提供丰富的2014年高考复习资料,高考真题及答案,高考志愿填报经验等最新信息。以下江苏高考全国统考数学真题试卷2008由出国留学网高考频道为您倾心提供,祝您考试复习愉快!
03-17
03-17
高考全国统考推荐访问