出国留学网高考成绩分布表

出国留学网专题频道高考成绩分布表栏目,提供与高考成绩分布表相关的所有资讯,希望我们所做的能让您感到满意!

上海2019高考各类别成绩分布表

 

  出国留学网小编为大家提供上海2019高考各类别成绩分布表,一起来看看吧!请大家及时根据自己的高考成绩填报高考志愿!

  上海2019高考各类别成绩分布表

  为便于考生考后填报志愿,现公布如下成绩分布信息,供参考。

  一、2019年考生高考成绩分布情况

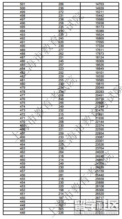
  1. 2019年考生高考成绩分布表(点击查看详情)

  2. 2019年选考(思想政治、历史、地理、物理、化学、生命科学)科目考生高考成绩分布表(考生须登录“2019年高考志愿辅助填报系统”查询)。

  二、2019年艺术类、体育类考生成绩分布情况

  1. 美术与设计学类专业统考本科合格考生成 绩分布表

  A.高考文化成绩分布表(点击查看详情)

  B.专业统考成绩分布表(点击查看详情)

  2. 音乐学类专业统考合格考生成绩分布表

  A.高考文化成绩分布表(点击查看详情)

  B.专业统考成绩分布表(点击查看详情)

  3. 编导类专业统考合格考生成绩分布表

  A.高考文化成绩分布表(点击查看详情)

  B.专业统考成绩分布表(点击查看详情)

  4. 表演类专业统考合格考生成绩分布表

  A.高考文化成绩分布表(点击查看详情)

  B.专业统考成绩分布表(点击查看详情)

  5. 播音与主持艺术专业统考合格考生成绩分布表

  A.高考文化成绩分布表(点击查看详情)

  B.