出国留学网专题频道高考数学模拟试题栏目,提供与高考数学模拟试题相关的所有资讯,希望我们所做的能让您感到满意!
03-16
出国留学网为您提供“2017年重庆高三数学冲刺自测练习题”,想知道更多内容,请继续关注我们的更新!
一、选择题
1.现采用随机模拟的方法估计某运动员射击4次,至少击中3次的概率:先由计算器给出0到9之间取整数值的随机数,指定0,1表示没有击中目标,2,3,4,5,6,7,8,9表示击中目标,以4个随机数为一组,代表射击4次的结果,经随机模拟产生了20组随机数:
7527 0293 7140 9857 0347 4373 8636 6947
1417 4698 0371 6233 2616 8045 6011 3661
9597 7424 7610 4281
根据以上数据估计该射击运动员射击4次至少击中3次的概率为( )
A.0.852
B.0.819 2
C.0.8
D.0.75
答案:D 命题立意:本题主要考查随机模拟法,考查考生的逻辑思维能力.
解题思路:因为射击4次至多击中2次对应的随机数组为7140,1417,0371,6011,7610,共5组,所以射击4次至少击中3次的概率为1-=0.75,故选D.
2.在菱形ABCD中,ABC=30°,BC=4,若在菱形ABCD内任取一点,则该点到四个顶点的距离均不小于1的概率是( )
A. 1/2
B.2
C. -1
D.1
答案:D 命题立意:本题主要考查几何概型,意在考查考生的运算求解能力.
解题思路:如图,以菱形的四个顶点为圆心作半径为1的圆,图中阴影部分即为到四个顶点的距离均不小于1的区域,由几何概型的概率计算公式可知,所求概率P==.
3.设集合A={1,2},B={1,2,3},分别从集合A和B中随机取一个数a和b,确定平面上的一个点P(a,b),记“点P(a,b)落在直线x+y=n上”为事件Cn(2≤n≤5,nN) ,若事件Cn的概率最大,则n的所有可能值为( )
A.3
B.4
C.2和5
D.3和4
答案:D 解题思路:分别从集合A和B中随机取出一个数,确定平面上的一个点P(a,b),则有(1,1),(1,2),(1,3),(2,1),(2,2),(2,3),共6种情况,a+b=2的有1种情况,a+b=3的有2种情况,a+b=4的有2种情况,a+b=5的有1种情况,所以可知若事件Cn的概率最大,则n的所有可能值为3和4,故选D.
4.记a,b分别是投掷两次骰子所得的数字,则方程x2-ax+2b=0有两个不同实根的概率为( )
A. 3/4
B.1/2
C. 1/3
D.1/4
答案:B 解题思路:由题意知投掷两次骰子所得的数字分别为a,b,则基本事件有:(1,1),(1,2),(1,3),(1,4),(1,5),(1,6),…,(6,1),(6,2),(6,3),(6,4),(6,5),(6,6),共有36个.而方程x2-ax+2b=0有两个不同实根的条件是a2-8b>0,因此满足此条件的基本事件有:(3,1),(...
出国留学高考网为大家提供长沙2017届高三年级统一模拟考试数学(理)试题及答案,更多高考资讯请关注我们网站的更新!
长沙2017届高三年级统一模拟考试数学(理)试题及答案







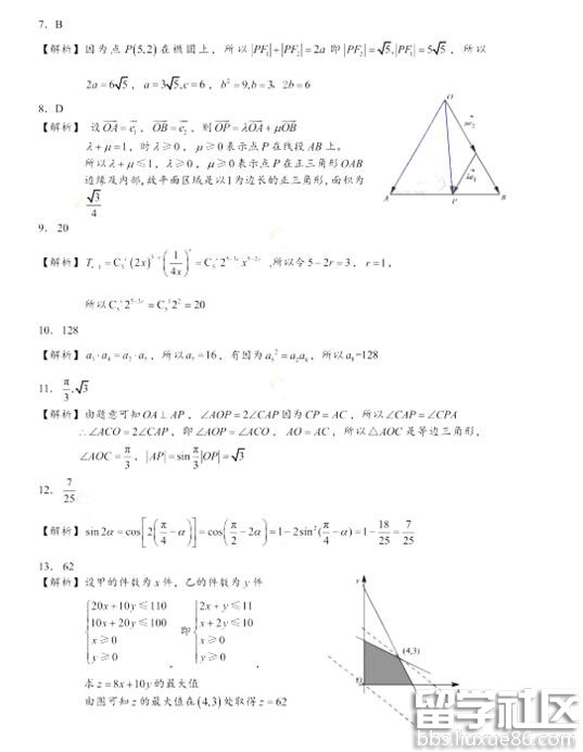
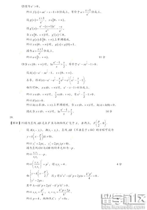
参考答案:



<...
出国留学网高考网为大家提供长沙2017届高三年级统一模拟考试理科数学试题,更多高考资讯请关注我们网站的更新!
长沙2017届高三年级统一模拟考试理科数学试题







小编精心为您推荐:
08-22
2016北京东城区高三一模将于4月6-7日考试,以下是出国留学网高考网小编整理的2016北京东城区高三一模理科数学试题及答案,供同学们参考学习。同学们可收藏本页面,便于考试后查看。






2016北京东城区高三一模将于4月6-7日考试,以下是出国留学网高考网小编整理的2016北京东城区高三一模文科数学试题及答案,供同学们参考学习。同学们可收藏本页面,便于考试后查看。






2016北京东城区高三一模将于4月6-7日考试,以下是出国留学网高考网小编整理的2016北京东城区高三一模理科数学试题及答案,供同学们参考学习。同学们可收藏本页面,便于考试后查看。






高考数学模拟试题推荐访问