出国留学网专题频道高考数学模拟试题及答案栏目,提供与高考数学模拟试题及答案相关的所有资讯,希望我们所做的能让您感到满意!
03-16
01-12
出国留学网高考网为大家提供2018年高考数学模拟题及答案:集合的概念及运算B组,更多高考资讯请关注我们网站的更新!
2018年高考数学模拟题及答案:集合的概念及运算B组


答案:



小编精心为您推荐:
01-12
出国留学网高考网为大家提供2018年高考数学模拟题及答案:集合的概念及运算A组,更多高考资讯请关注我们网站的更新!
2018年高考数学模拟题及答案:集合的概念及运算A组



小编精心为您推荐:
10-22
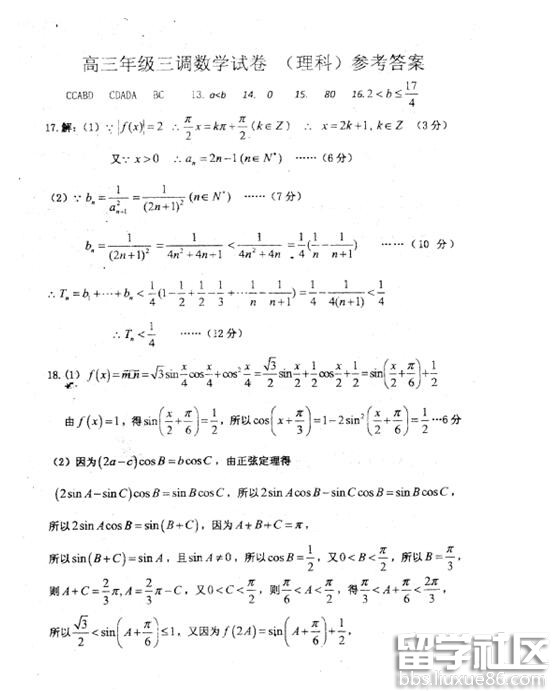
出国留学网高考网为大家提供2017届河北衡水中学高三三调数学试题及答案汇总,更多高考资讯请关注我们网站的更新!
| 2017届河北衡水中学高三三调数学试题及答案汇总 | |
| 1 | 2017届河北衡水中学高三三调理科数学试题及答案 |
| 2 | 2017届河北衡水中学高三三调文科数学试题及答案 |
10-22
10-22
08-22
01-22
以下2015河北五个一名校联盟高三联考数学文试题及答案由出国留学网高考频道为您精心提供,希望对您有所帮助。
唐山一中等五校2015届高三上学期第二次联考
数学(文)试题
第I卷(选择题,共60分)
一、选择题:本大题共12小题,每小题5分,共60分.在每小题给出的四个选项中,只有一项是符合题目要求的,请将答案涂在答题卡上.
1.设集合 , ,则
A. B. C. D.
2. 已知 是虚数单位, 和 都是实数,且 ,则
A. B. C. D.
3.设 是定义在R上的周期为 的函数,当x∈[-2,1)时, ,则 =
A. B. C. D.
4.设 则
A. B. C. D.
5.下列结论错误的是
A.命题“若 ,则 ”与命题“若 ,则 ”互为逆否命题
B.命题 ;命 ,则 为真
C.“若 ,则 ”的逆命题为真命题
D.若 为假命题,则p、q均为假命题
6.若圆 的半径为1,圆心在第一象限,且与直线 和 轴都相切,则该圆的标准方程为
A. B.
C. D.
7.右图中, 为某次考试三个评阅人对同一道题的独立评分, 为该题的最终得分,当 时, 等于
A. B. C. D.
8.下列函数最小正周期为 且图象关于直线 对称的函数是
A. B.
C. D.
9.等差数列 的前 项和为 ,且 , ,则过点 和 ( )的直线的一个方向向量是
A. B. C. D.
10.设 满足约束条件 ,若目标函数 的最大值为12,则 的最小值为
A. B. C. D.4
11.在 中, 若 ,求 周长的取值范围
A. B. C. D.
12.若曲线 与曲线 存在公共切线,则 的取值范围为
A. B. C. D.
第II卷(非选择题,共90分)
二、填空题:本大题共4小题,每小题5分,共20分.把正确答案填在答题卡上.
13.已知 ,且 ,则 ________.
14.若双曲线 的一个焦点到一条渐近线的距离等于焦距的 ,则该双曲线的离心率为 .
15.多面体的三视图如图所示,则该多面体体积为
(单位 ) .
16.已知 , , ,动点 满足 且 ,则点 到点 的距离大于 的概率为 .
三、...
高考数学模拟试题及答案推荐访问