出国留学网高考数学理试题

出国留学网专题频道高考数学理试题栏目,提供与高考数学理试题相关的所有资讯,希望我们所做的能让您感到满意!

江西高考数学理试题2009

 

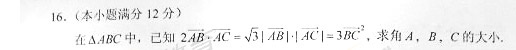
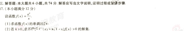
  查看历年的高考真题对于2014年高考生来说是比较好的方式,能较好的把握住2014年高考命题的思路和方向,也能检验一下自己对于知识的掌握程度。出国留学网高考频道特为您提供了江西高考数学理试题2009,希望祝您打好2014年高考战!

20140317044810710.jpg 20140317044811349.jpg 20140317044811508.jpg 20140317044812788.jpg 20140317044812474.jpg 20140317044812583.jpg 20140317044812859.jpg 20140317044812447.jpg