出国留学网专题频道高考数学2015栏目,提供与高考数学2015相关的所有资讯,希望我们所做的能让您感到满意!
07-30
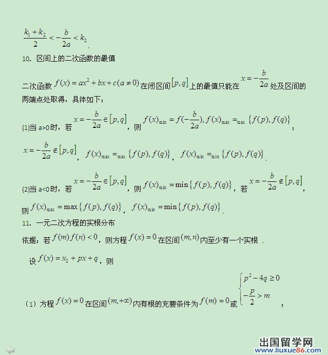
想要高考取得好的成绩,高考的第一轮复习是至关重要的,在这里,出国留学网小编为大家整理了高考数学第一轮复习公式,希望能够帮各位高三学生更好的复习,如果觉得本网站内容有用,欢迎收藏(Ctrl+D即可)。
高考推荐阅读:
高考备考辅导
全国各地高考真题及答案
与高考数学2015相关的高考数学
高考数学2015推荐访问
搜索更多内容
高考数学2015相关推荐
编辑推荐
热点推荐