出国留学网专题频道高考文科数学真题试卷栏目,提供与高考文科数学真题试卷相关的所有资讯,希望我们所做的能让您感到满意!
高考是每个人一生当中,最重要的考试之一,因此我们一定要认真备战高考,争取发挥自己最好的水平。2022年高考已经结束了,出国留学吧小编为大家整理了“2022年高考理科数学真题试卷及答案(全国乙卷)”,可供参考。





参考答案:


2022年的文科数学考试真题试卷已经公布了,各位2023年高考的文科考生可以来看一看今年文科数学高考试卷的难度,也可以做一做检测一下自己能考多少分。下面是小编为大家准备的“2022年高考文科数学真题试卷及答案(全国甲卷)”,仅供参考。







03-17
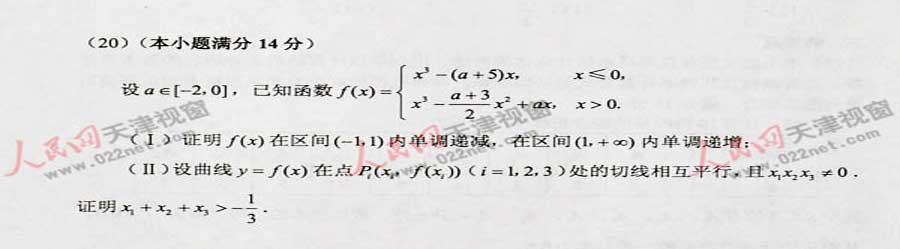
查看历年的高考真题对于2014年高考生来说是比较好的方式,能较好的把握住2014年高考命题的思路和方向,也能检验一下自己对于知识的掌握程度。出国留学网高考频道特为您提供了辽宁高考文科数学真题试卷2013,希望祝您打好2014年高考战!
03-17
03-17
03-17
03-17
03-17
03-17
出国留学网高考频道全程关注高考多年,为您提供丰富的2014年高考复习资料,高考真题及答案,高考志愿填报经验等最新信息。以下湖北A高考文科数学真题试卷2013由出国留学网高考频道为您倾心提供,祝您考试复习愉快!
03-17
高考文科数学真题试卷推荐访问