出国留学网专题频道2006高考数学文真题试卷栏目,提供与2006高考数学文真题试卷相关的所有资讯,希望我们所做的能让您感到满意!
03-17
03-17
03-17
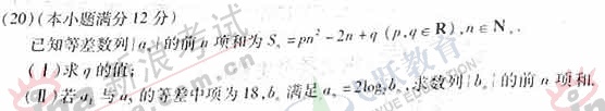
查看历年的高考真题对于2014年高考生来说是比较好的方式,能较好的把握住2014年高考命题的思路和方向,也能检验一下自己对于知识的掌握程度。出国留学网高考频道特为您提供了浙江2006高考数学文真题试卷,希望祝您打好2014年高考战!
03-17
03-17
03-17
03-17
出国留学网高考频道全程关注高考多年,为您提供丰富的2014年高考复习资料,高考真题及答案,高考志愿填报经验等最新信息。以下重庆2006高考数学文真题试卷由出国留学网高考频道为您倾心提供,祝您考试复习愉快!
03-17
03-17
03-17
2006高考数学文真题试卷推荐访问