出国留学网2012浙江高考

出国留学网专题频道2012浙江高考栏目,提供与2012浙江高考相关的所有资讯,希望我们所做的能让您感到满意!

2012浙江高考英语真题和参考答案

 

  今年高考已经天天临近,出国留学网高考频道为您提供了2012浙江高考英语真题和参考答案,祝您今年高考复习考试顺利!

20140319073219670.jpg 【正确答案】
20140319073219412.jpg 20140319073219468.jpg 【正确答案】
20140319073220873.jpg 20140319073220356.jpg 【正确答案】
20140319073220760.jpg 20140319073221759.jpg 【正确答案】
20140319073221998.jpg 20140319073221463.jpg 【正确答案】
20140319073222695.jpg 20140319073222900.jpg 【正确答案】
20140319073222241.jpg 20140319073222547.jpg 【正确答案】
20140319073223173.jpg 20140319073223964.jpg 【正确答案】
20140319073223269.jpg 20140319073223783.jpg 【正确答案】
20140319073224887.jpg 20140319073224517.jpg[p...

2012浙江高考理综真题和参考答案

 

  回顾以往试题资料把握好高考命题思路及做题方法,是今年高考生需要关注的事情。liuxue86网高考频道为您搜集了最新最全的2012浙江高考理综真题和参考答案,助力您打好今年高考这场战斗,取得最后的顺利!

20140319073121232.jpg 【正确答案】
20140319073122195.jpg 20140319073122827.jpg 【正确答案】
20140319073123219.jpg 20140319073123662.jpg 【正确答案】
20140319073123357.jpg 20140319073123635.jpg 【正确答案】
20140319073124788.jpg 20140319073124400.jpg 【正确答案】
20140319073124697.jpg 20140319073125426.jpg 【正确答案】
20140319073125828.jpg 20140319073125956.jpg 【正确答案】
20140319073125853.jpg 20140319073126583.jpg 【正确答案】
20140319073126825.jpg 20140319073127686.jpg 【正确答案】
20140319073127148.jpg div

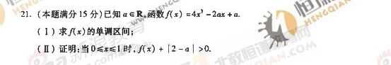
2012浙江高考自选模块真题和参考答案

 

  出国留学网高考频道全程关注高考多年,全方位为您提供丰富的高考复习资料,高考真题及答案,高考志愿填报经验等最新信息。以下《2012浙江高考自选模块真题和参考答案》由liuxue86.com高考频道为您倾心提供,祝您考试复习愉快!

20140319073054904.jpg 【正确答案】
20140319073054575.jpg 20140319073055817.jpg 【正确答案】
20140319073055199.jpg 20140319073055740.jpg 【正确答案】
20140319073056310.jpg 20140319073056334.jpg 【正确答案】
20140319073056395.jpg 20140319073056339.jpg 【正确答案】
20140319073057850.jpg 20140319073057935.jpg 【正确答案】
20140319073057314.jpg 20140319073058885.jpg 【正确答案】
20140319073058444.jpg 20140319073058944.jpg 【正确答案】
20140319073058403.jpg 20140319073059384.jpg 【正确答案】
20140319073059639.jpg ...