出国留学网专题频道2014重庆中考数学答案栏目,提供与2014重庆中考数学答案相关的所有资讯,希望我们所做的能让您感到满意!
06-16
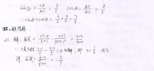
以下是出国留学网中考频道为您提供的2014年重庆中考数学答案(B 卷),希望对您2014年中考有所帮助!
与2014重庆中考数学答案相关的中考数学
2014重庆中考数学答案推荐访问
搜索更多内容
2014重庆中考数学答案相关推荐
编辑推荐
热点推荐