出国留学网专题频道2014高考数学模拟试题及答案栏目,提供与2014高考数学模拟试题及答案相关的所有资讯,希望我们所做的能让您感到满意!
03-27
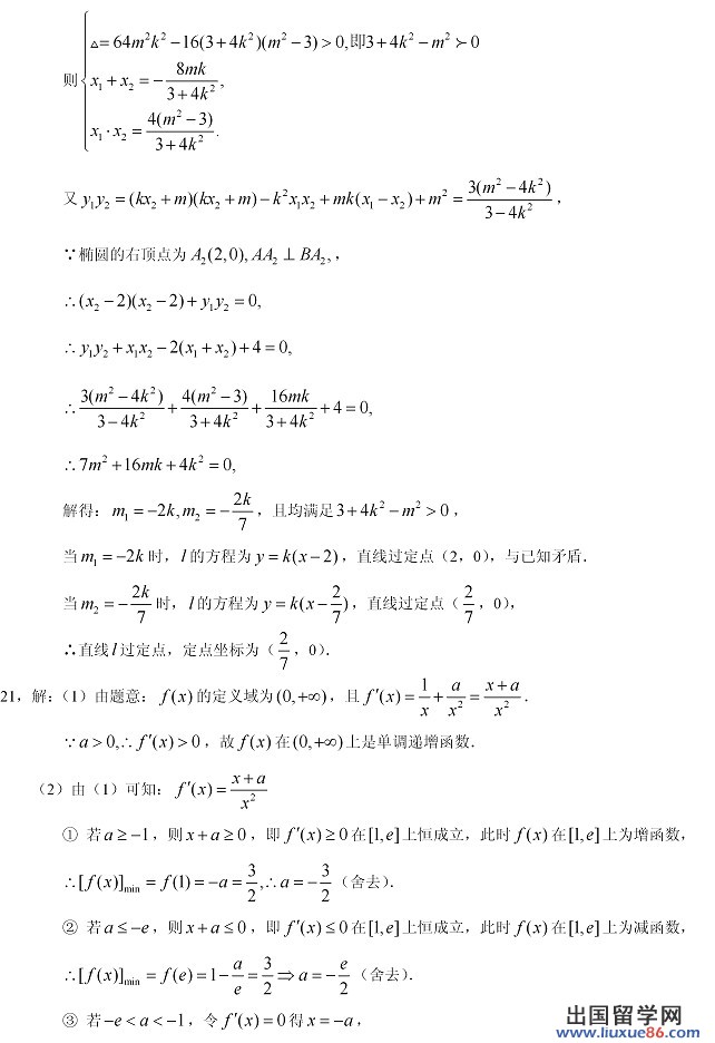
以下《新课标一高考数学一模(理科)试题及答案2014》是由出国留学网高考频道为您精心提供的,希望对您2014年高考有所帮助!更多2014北京高考资讯请收藏本站(ctrl+D即可收藏)!
与2014高考数学模拟试题及答案相关的高考数学
2014高考数学模拟试题及答案推荐访问
搜索更多内容
2014高考数学模拟试题及答案相关推荐
编辑推荐
热点推荐