出国留学网专题频道2016甘肃高考一诊栏目,提供与2016甘肃高考一诊相关的所有资讯,希望我们所做的能让您感到满意!
03-18
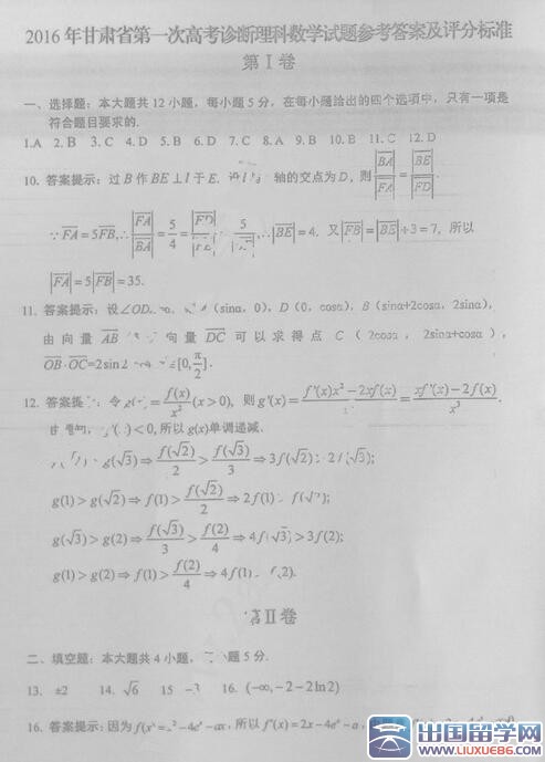
出国留学高考网为大家提供2016甘肃高考一诊理科数学答案,更多高考资讯请关注我们网站的更新!
2016甘肃高考一诊理科数学答案
2016甘肃高考一诊理科数学试题>>>点击查看










小编精心为您推荐:
03-18
出国留学高考网为大家提供2016甘肃高考一诊理科数学试题,更多高考资讯请关注我们网站的更新!
2016甘肃高考一诊理科数学试题
2016甘肃高考一诊理科数学答案>>>点击查看




小编精心为您推荐:
...
03-18
2016甘肃高考一诊推荐访问