出国留学网专题频道2022年考研栏目,提供与2022年考研相关的所有资讯,希望我们所做的能让您感到满意!
不同的经历能够给我们带来不同的收获,我们可以用笔纸进行简单的记录。一般来说,心得体会就是应用原文做导引,然后发表自己的意见。心得体会可以写哪些内容呢?以下是出国留学网小编收集整理的“2022年考研心得体会简短”,仅供参考,但愿对您的工作带来帮助。
何苦不现在就把握机遇,挑战新的高峰,给自己的人生定制一个清晰的方向。
在安适的山寨容易埋葬憧憬,在舒适的田野容易迷失方向。失去竞争实力时才去感叹时光如逝,何苦不现在就把握机遇,挑战新的高峰,给自己的人生定制一个清晰的方向。我希冀,我付出,所以我收获。你是否也像我一样为考研奋斗而最终收获呢?你的心中是否有明确的计划去实现你的理想呢?在此我希望与大家分享自己的心得与体会,使大家少走弯路,顺利攀登考研高峰。
制订好整体复习计划,合理安排复习时间,是相当重要的。对数学复习而言,我将其大体分成三个阶段。
一、以书为本,总体把握
因为课本对基本概念的定义,基本原理的推导都是十分准确、精练的,掌握了这些基础知识体系,后续阶段的复习会取得事半功倍的效果。有些同学一开始就盲目地追求做题数量,忽视了课本的复习,那是极不可取的。必须通过对课本的复习,理出一个知识框架体系,从总体上把握考点。另外,必须定期总结和巩固前一阶段所学习的知识,温故而知新。
二、认真做题,广积思路
众所周知,数学还是以练为主的。除了第一阶段必须完成课本上的习题外,主要的精力应集中在陈老师和黄老师本书所提到的黄老师均为黄先开教授。主编的《复习指南》上。刚做这本书上的习题时,我真有点力不从心,有时觉得解题方法很奇特,而答案也有些突兀。经过陈老师和黄老师上课时仔细地讲解,我对这些难点有了更深刻的理解。老师们稳重的授课风格,有条不紊的解题思路,以及循序渐进、举一反三的教学方法使大家能够更有效地吸收知识。我想强调融会贯通的重要性,千万别为了做题而做题,因为做题只是一种手段而已。应通过做题将所学知识点联系起来,并将所学的思路与方法为己所用。
三、研究真题,查漏补缺
从一些研究生介绍和自我感觉来说,真题的作用绝对是其他模拟题所不可替代的。只要你仔细研究就会发现历史是如此惊人地相似,很多考题都是貌离神合。应该用一到两个月的时间来做和研究近十年真题,包括数(一)到数(四)中你要考的内容。这不仅可作为检测自己最直接的手段,而且更重要的是能让考生熟悉考试的内容和侧重点,了解命题人的命题思路。在分析真题时,可找出自己的不足,再回到课本和辅导书进行复习巩固,理解的程度自然就加深了。至于模拟题应有选择地做几套,目的只是练练手,切勿一味贪多。
当然,检验复习效果要靠考试,所以在抓做题的同时也要注意应试技巧的训练。主要做到快、准、全。快要求你通过分析能迅速找到解题思路:准则要求解题过程中运算要准确无误;而全则是必须按标准答案的步骤答题。以上三点需要你在平时训练中慢慢积累,如在做真题时严格按考试时间和要求检测自己,通过八套左右的练习,到考试时自然是水到渠成了。最后衷心祝愿师弟师妹们在来年的考研中取得理想的成绩。
点评:凡事预则立,不预则废。周琳同学成功的一个关键点就是制定了一个良好的学习计划,有一个学习的总纲,纲举则目张,在...
2023年考研的时间马上就要到了,相信各位考生一定在尽自己最大的努力备考。考研的英语难度是很大的,因此我们在备考时不要忘了练习考试真题。下面是小编为大家准备的2022年考研英语的部分真题及答案,可供参考。
一、完形填空


答案解析:





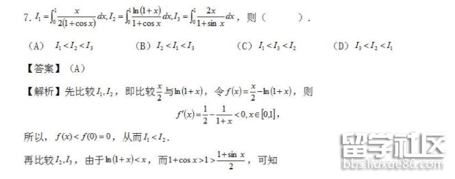
2023年研究生考试初试时间定于12月24日到25日,目前距离考试时间已经不多了。下面是小编为大家整理的“2022年考研数学一部分真题(2023考研可参考)”,可供参考,希望能够帮助到各位考生。
一、单选题







2023年全国硕士研究生考试初试考试时间定于12月24日到25日,请各位考生抓紧时间准备考试。数学是很多考生都觉得非常难的一门考试,为了帮助各位考生更好的备战2023年考研,小编给大家准备了2022年的考研数学真题,可供参考。
一、选择题






二、填空题

2023年的考研即将开始,23年的考研国家线预计将要在23年的三月份公布,小编在本文中为大家带来了2022年的考研国家线,供大家进行参考,快来看看吧!欢迎大家阅读本文,关注本站即可获取更多精彩资讯!


教育部部署2022年全国硕士研究生招生复试录取工作
3月11日,教育部召开视频工作会议,部署2022年全国硕士研究生招生复试录取工作。各省(区、市)教育厅(教委)、省级教育招生考试机构及硕士研究生招生单位有关负责同志参加会议。
会议强调,要统筹做好复试组织和疫情防控工作。各地各招生单位要充分认识复试工作的重要性和当前疫情形势的复杂性、严峻性,周密细致做好疫情防控常态化下的复试工作。各招生单位要切实落实考试招生主体责任,在省级高校招生委员会的统一领导下,统筹考虑当地疫情防控要求和学校实际情况,切实把广大师生生命安全和身体健康放在第一位,因地因校制宜,自主确定复试时间、复试方式和复试办法。各省级教育行政部门、教育招生考试机构要加强对本地招生单位硕士研究生招生复试录取工作的统筹管理和指导监督。
会议要求,要加强复试和调剂工作组织管理。各招生单位要在复试工作中,采取“两识别”“四比对”等措施,加强考生身份审核,严防替考;通过“三随机”(随机确定考生复试次序、随机确定导师组组成人员、随机抽取复试试题)等方式,加强过程监管,确保规范公平。采取现场复试的,要提前制定复试工作流程、防控措施和应急预案,尽量减少不必要环节,防止人员聚集。采取远程复试的,原则上应统一复试平台,完善“双机位”“防缩屏”等技术手段防范作弊。要强化复试试题管理,充分考虑组考方式、复试人数、学科专业特点等,提前命制好充足试题,并严防试题外泄;严厉打击各类考试作弊行为,严肃考风考纪。严格执行调剂政策,坚持以质量为核心,择优录取。招生单位(含所属院、系、所)复试、调剂工作办法及拟录取名单须报招生单位招生工作领导小组审定,并报省级教育招生考试机构审核备案。
会议指出,要进一步优化考生服务。各招生单位要根据有关政策规定及时对外公布复试工作安排、调剂基本要求、工作程序、联系咨询电话、拟录取情况等相关信息,并加强政策宣传解读,让考生充分知晓。积极创造条件,为考生参加考试提供合理便利,特别是要为贫困地区考生、残疾考生等特殊群体提供针对性的考试服务。对于不具备远程复试条件的考生,招生单位要进行技术兜底保障,根据考生申请积极协调生源所在地省级教育招生考试机构提供必要合理的支持和帮助。
同日,教育部发布了《2022年全国硕士研究生招生考试考生进入复试的初试成绩基本要求》(国家分数线)。各招生单位将根据《20...
在研究生招生考试中政治科目一直都是三个考试题型:单项选择,多项选择和材料分析题,三种题型中小编认为大家需要把复习重点放到前两项的客观题当中,因为客观题才是拉开分数差距的关键,小编接下来就为大家带来2022年考研政治真题中的材料分析题及答案解析,快来看看吧!
三、分析题:每小题10分,共50分。要求结合所学知识分析材料并回答问题。
34.结合材料回答问题:
材料1
进入新时代,我国面临更为严峻的国家安全形势,外部压力前所未有,传统安全威胁和非传统安全威胁相互交织,“黑天鹅”、“灰犀牛”事件时有发生。同形势任务要求相比,我国维护国家安全能力不足,应对各种重大风险能力不强,维护国家安全的统筹协调机制不健全。党中央强调,国泰民安是人民群众最基本、最普遍的愿望。必须坚持底线思维、居安思危、未雨绸缪,坚持国家利益至上,以人民安全为宗旨,以政治安全为根本,以经济安全为基础,以军事、科技、文化、社会安全为保障,以促进国际安全为依托,统筹发展和安全,统筹开放和安全,统筹传统安全和非传统安全,统筹自身安全和共同安全,统筹维护国家安金和塑造国家安全。
摘自《中共中央关于党的百年奋斗重大成就和历史经验的决议》
材料2
“黑天鹅”事件通常指现实生活中出现的“出乎预料”的小概率。在特定时间内发生的可能性相对较低的小概率事件广泛存在于自然、经济、政治等各个领域,具有偶发性、难以预测性等特征。小概率事件虽然发生概率小,但并非零概率事件,若从长时段来看,只要具备相关因素和条件,就可能会发生。小概率事件的影响不局限于一时一地,一旦发生,就可能会形成多米诺骨牌效应,导致系统性风险,给整个人类社会发展带来深远影响。
习近平总书记在庆祝中国共产党成立100周年大会上的讲话中指出,新的征程上,我们必须增强忧患意识、始终居安思危,深刻以我国社会主要矛盾变化带来的新特征新要求,深刻认识错综复杂的国际环境带来的新挑战,敢于斗争,善于斗争,逢山开道、遇水架桥,勇于战胜一切风险挑战。应对我国发展环境深刻复杂变化,特别是其中隐藏的重大风险挑战,是向着全面建成社会主义现代化强国目标迈进的必然要求,我国发展具有多方面优势和条件,但我国发展不平衡不充分问题仍然突出,重难点领域关键环节改革任务仍然艰巨。发展环境的深刻复杂变化,既要求我们牢牢把握机遇发展自己,又要求我们树立辩证思维,提高驾驭复杂局面、处理复杂问题的本领。
摘编自《人民日报》(2020年7月27日、2021年7月...
多项选择题一直都是各大考试中最让考生头疼的一道题型,由于不知道正确答案的数量加上考场上的紧张气氛,让多项选择题成为了考试得分最低的考试题型之一,那么接下来小编就为大家带来2022年考研政治真题中的多项选择题及答案解析,快来看看吧!
二、多项选择题:每小题2分,共34分。下列每题给出的四个选项中,至少有两个选项是符合题目要求的。多选、少选或错选均不得分。
17.【题干】在深入推动黄河流域生态保护和高质量发展座谈会上,习近平总书记谈及水资源和发展的关系时,以传统名吃“羊肉泡馍”作形象比喻,强调要全方位贯彻“四水四定”(以水定城、以水定地、以水定人、以水定产)原则,精打细算用好水资源,“有多少汤泡多少馍”,让水资源用在最该用的地方。“有多少汤泡多少馍”蕴含的哲学道理是( )。
【选项】
A.创造条件,充分发挥意识能动性
B.一切从实际出发,实事求是
C.因地制宜,因时制宜
D.尊重规律,把握适度原则
【答案】BCD
【解析】本题考查矛盾的普遍性和特殊性原理、适度原则。度的两端叫关节点或临界点,超出度的范围,此物就转化为他物。度这一哲学范畴启示我们,在处理问题时要坚持适度原则,我们要在尊重客观规律的基础上,量力而为,合理开发黄河生态水资源,选项D正确。
题干中“有多少汤泡多少馍”,还体现了我们在处理水资源配置问题上,要如实地分析矛盾的特殊性,做到立足实际、一切从实际出发,实事求是、因地制宜,因时制宜,采取正确的方针和办法去解决矛盾,从而走上黄河治理的高质量发展之路,选项C正确。故本题正确选项为BCD。
18.【题干】人类历史上的每一次科技革命都与材料的发展息息相关,而新材料的研制却是颇为不易的。人工智能可以借助数据共享,对先进材料的物理化学性质进行预测筛选,从而加快新材料的合成和生产。作为人工智能的一个分支,机器学习算法在辅助新材料设计时尤为“得力”,其工作过程主要包括“描述符”生成、模型构建和验证、材料预测、实验验证等步骤。人工智能辅助新材料研发的过程表明( )。
【选项】
A.科学研究能够任意改变物质的性质和结...
很多考生在备考研究生招生考试时,总是喜欢先复习专业知识和数学,把政治放在备考中后期阶段,这样的备考模式其实比较科学,毕竟政治考试内容永远是记不完的,接下来小编就为大家带来2022年考研政治真题中的单项选择题及答案解析,快来看看吧!
一、单项选择题:每小题1分,共16分。下列每题给出的四个选项中只有一个选项是符合题目要求的。
1.【题干】中国共产党坚持马克思主义基本原理,坚持实事求是,从中国实际出发,洞察时代大势,把握历史主动,进行艰辛探索,不断推进马克思主义中国化时代化,指导人民不断推进伟大社会革命。习近平总书记指出,“中国共产党为什么能,由特色社会主义为什么好,归根到底是因为马克思主义行!”马克思主义之所以行的根本原因在于( )。
【选项】
A.马克思主义具有鲜明的政治立场
B.马克思主义具有自觉的历史担当
C.马克思主义是科学的世界观和方法论
D.马克思主义是无产阶级政党自我革命的武器
【答案】C
【解析】本题考查马克思主义的当代价值。时代在变化,社会在发展,马克思主义基本原理依然是科学真理。
第一,马克思主义是我们观察当代世界变化的认识工具。
第二,马克思主义是指引当代中国发展的行动指南。
第三,马克思主义是引领人类社会进步的科学真理。
马克思主义是科学的世界观和方法论,其借鉴吸收人类一切优秀文明成果,不断回答时代和实践给我们提出的新的重大课题,让当代中国马克思主义放射出更加灿烂的真理光芒。这是马克思主义在我们党和国家发展进步的各个不同时期、不同阶段始终能“行”的根本原因。故本题正确选项为C。
2.【题干】党的十八大以来,我国从中西部22个省份有劳动能力的建档立卡贫困人口中选聘了110.2万名生态护林员,走出了一条生态补偿脱贫的新路子,实现了生态保护和脱贫增收“双赢”,充分体现了“人不负青山,青山定不负人”的深刻哲理。“人不负青山,青山定不负人”表明( )。
为什么这么多考研的小伙伴们都说英语是最难复习的一科?因为英语这一门学科没有复习量的上限,在考场上大家拼的就是日常的积累,所以说英语是需要日积月累的,接下来小编就为大家带来2022年考研英语(一)完整版真题及答案解析,快来看看吧!
Section III Translation
Directions: Read the following text carefully and then translate the underlined segments into Chinese. Your translation should be written neatly on the ANSWER SHEET. (10 points)
"Between 1807 and 1814 the Iberian Peninsula (comprising Spain and Portugal) was the scene of a titanic and merciless struggle. It took place on many different planes: between Napoleon's French army and the angry inhabitants: between the British, ever keen to exacerbate the emperor's difficulties, and the marshals sent from Paris to try to keep them in check: between new forces of science and meritocracy and old ones of conservatism and birth.(46)It was also, and this is unknown even to many people well read about the period, a battle between those who made codes and those who broke them.
I first discovered the Napoleonic cryptographic battle a few years ago when I was reading Sir Charles Oman's epic History of the Peninsular War. In volume V he had attached an appendix. "The Scovell Ciphers."(47)It listed many documents in code that had been captured from the French army of Spain, and whose secrets had been revealed by the work of one George Scovell, an officer in British headquarters. Oman rated Scovell's significance highly, but at the same time, the general nature of his History meant...
1. 英语在研究生招生考试中往往是很多理工科考生心中的痛,因为英语这一科考试科目的复习内容是没有上限的,所以考生在复习过程中也经常无从下手,那么接下来小编就为大家带来2022年考研英语(一)完整版真题及答案解析,快来看看吧!
Section II Reading Comprehension
Part A
Directions:
Read the following four texts. Answer the questions below each text by choosing A, B, C or D. Mark your answers on the ANSWER SHEET. (40 points)
Text 1
People often complain that plastics are too durable. Water bottles, shopping bags, and other trash litter the planet, from Mount Everest to the Mariana Trench, because plastics are everywhere and don't break down easily. But some plastic materials change over time. They crack and frizzle. They "weep" out additives. They melt into sludge. All of which creates huge headaches for institutions, such as museums, trying to preserve culturally important objects. The variety of plastic objects at risk is dizzying: early radios, avant-garde sculptures, celluloid animation stills from Disney films, the first artificial heart.
Certain artifacts are especially vulnerable because some pioneers in plastic art didn't always know how to mix ingredients properly, says Thea van Oosten, a polymer chemist who, until retiring a few years ago, worked for decades at the Cultural Heri...
2022年考研推荐访问