出国留学网专题频道检验工程师栏目,提供与检验工程师相关的所有资讯,希望我们所做的能让您感到满意!
02-01
已到年终之际,作为工程师需要写一篇工作总结。那么大家知道检验设备维修工程师年终工作总结怎么写吗?以下是出国留学网小编辑为您整理的“检验设备维修工程师年终工作总结”,供您参考,更多详细内容请点击出国留学网(www.liuxue86.com)查看。
20xx年在公司的正确领导下,我按照公司的工作精神和工作要求,结合自己的岗位职责,刻苦勤奋、认真努力工作,较好地完成了工作任务,取得良好的成绩。现将20xx年个人工作情况总结如下:
一、设备维修工作情况
20xx年接到公司维修派单共计XX台次,平均每月17台次。接到维修派单后,我及时安排员工进行维修,自己也经常和员工一起维修。经过大家的共同努力和辛勤工作,全部完成了维修工作任务。20xx年维修合格率为94.6%,基本达到了目标要求,但还有5.4%没有达标,需要在今后工作中进一步努力,力争实现合格率为100%。
二、维修工作情况分析
20xx年的维修工作相比于去年,有了较大的进步,在维修数量上有一定增长,在维修质量上有一定提高。主要原因在于不断改进维修服务方式,积极探索新的维修模式,着重维修好客户急需的设备,同时以不同仪器维修理论与实践相结合的方式来解决设备维修中遇到的问题,使自己的维修能力与技能有了质的提升。20xx年的维修工作比起以往,主要缺乏制度完善和系统化,维修管理幅度和力度较弱,团队意识较差,各项工作开展起来较为困难。
三、维修部工作存在的不足问题
一是维修部工作被动,其原因是自己主观能动性差,存在“参加与不参加一个样”的消极思想,因而导致工作被动。二是自己虽然一心想做好年初的计划目标,但侧重点还是集中在努力提升自身维修技能水平上,忽略了部门的远景建设,以致造成部门许多事情的停滞。三是虽然全年维修合格率达到95%,但有5%的维修没有合格,原因是自己与部门间沟通不及时,造成仪器配件滞后,出现维修拖拉现象。四是作为部门的主管,我带人技巧不高、传授水平不足,自己的思想觉悟和业务技能需要进一步提高。
四、20xx年工作计划目标
1、加强学习,提高自身综合素质。我要认真学习公司工作精神和业务技能,做到在工作中学习,在学习中进步,切实提高自己的业务能力和管理能力,能够处理好突发维修事件,提高维修工作的效率和质量,力争实现维修合格率100%。
2、加强建设,促进维修工作发展。我要加强部门队伍建设和创新优化工作,增强部门凝聚力,树立部门良好形象,做到真抓实干,促进维修工作发展,确保让公司和顾客满意。同时,我要积极配合其他部门共同做好维修工作,坚决完成公司所交付的任务,努力取得良好成绩。
3、完善计划,提高维修工作质量。我要认真制定维修部每月工作计划,明确每周维修任务,切实按照月计划做好维修工作。要加强对维修工作的总结,好的要坚持,差的要改进,促进维修工作质量提高,树立部门维修质量信誉。
推荐阅读:
10-18
时光荏苒,岁月如梭,2006年已在不经意间悄然逝去。回首2006,既有收获的踏实和欢欣,也有因不足带来的遗憾和愧疚。 2006年是公司大发展的一年,动态试验机市场良好,开发四部的工作是繁重和艰巨的,我在车工和毛工的指导下,较好的融入了这种紧张和严谨的氛围中,较好地完成了各项任务,自身的业务素质和工作能力有了较大提高,对工作有了的自信。
过去的一年,我参与了较多的产品设计,从中受益匪浅,不仅学到了很多专业知识,对动态产品有了更全面的理解和把握,而且培养了我作为机械工程师所应该具备的基本素质。同时,我坚持自学,学习了当前机械行业新的工具软件和专业书籍,提高了理论水平。具体总结
一、2006年的工作成绩(以时间为序)
小编精心推荐
... 作文标题: 猴子工程师
关键词: 猴子 工程师 小学三年级
本文适合: 小学三年级
作文来源: https://zw.liuxue86.com
本作文是关于小学三年级的作文,题目为:《猴子工程师》,欢迎大家踊跃投稿。
猴子工程师
在大森林里,有一只猴子,他声称是受过著名的建筑大师的指点,是森林中的“优秀建筑师”。不管森林里的哪只动物盖新房子,他都会去指点指点。
这天,这只猴子在悠闲地散步,突然看见画眉鸟在搭窝。猴子定睛一看,眉毛顿时竖成了“八”字,怒气冲冲的向画眉鸟嚷道:“喂!你怎么这点常识都不懂啊?窝口朝上,下雨咋办?笨死了,”说完,猴子远去了。望着猴子远去的背影,画眉鸟呆呆的立在树上。
猴子继续往前走,又碰巧看见鼹鼠在满头大汗的挖地洞。“停下停下,快停下!”猴子高声叫到。
“怎么了??”鼹鼠疑惑地问,“看看你挖的洞,如果山洪爆发了,你全家就等着淹着吧!”猴子说完,大摇大摆的走开了。鼹鼠满肚子的问号??
猴子走在小路上,有怒发冲冠的批评了几个动物。
雷声轰隆隆的响着,倾盆大雨从天而降,雨点打得树叶哗啦啦的响,百兽群鸟都回到自己的窝里,只有猴子冻得瑟瑟发抖!!
你想更好友更快的完成自己的工作并且在工作中使错误量到最小甚至不再犯错误吗?很多时候,机关我们在工作生取得了一定的成功,但是花费了巨大的人力和财力,这个时候,一个相关的工作总结是很有必要的。下面是小编给大家分享的有关工作总结的信息,仅供参考。欢迎关注出国留学网更多相关信息。
xxxx年x月我被调入西过境公路西段第一驻地办试验室担任试验检测工程师,在领导的支持和同事的积极配合下,本着“严格监理、热情服务、秉公办事、一丝不苟”的原则,顺利地完成了本年度的监理试验工作,现将今年的监理工作汇报如下:
1、驻地办进场以来,针对本工程项目需要及合同条件的要求,积极购买试验设备及仪器,进行安装、调试、标定,申请工地临时资质,同时不断完善试验实施细则、监理各项规章制度,各种图表上墙,经省质检站验收一次通过,具备施工准备阶段试验条件。在建设驻地试验室的同时,督促、检查承包商进场试验人员、设备是否满足施工及合同要求以及各项工作的开展情况,并要求承包商建立健全质量自检体系,为顺利开工奠定基础。
助理工程师工作总结小编精心推荐
...10-09
作文标题: 蚂蚁工程师
关键词: 蚂蚁 工程师 小学四年级
本文适合: 小学四年级
作文来源: https://zw.liuxue86.com
本日记是关于小学四年级的日记,题目为:《蚂蚁工程师》,欢迎大家踊跃投稿。
蚂蚁工程师
蚂蚁工程师们都穿着一件很拉风的工作服,他们摇头晃着触角,互相商量着怎样建设家园。
选好位置,在草根下,选好材料,聚沙垒石,选好工具,钎锹锤稿。一位蚂蚁工程师抚了抚眼镜,又摇了摇头,一位撸了撸胳膊,又挽了挽袖子,一位整了整安全帽,扛起了一卷图纸,还有一位伸了伸胳膊,抻了抻懒腰。
“这里…”“那儿…”“嗯,不错!”
“叮叮当当,咣咣呛呛……”
掘,挖,撬,挪,搬,挑,压……“不行,不行!”“再试一次,ok!”
速度,一分钟“一粒米”。
激情,“嘿呦嘿呦”喊着团结的号子。
地下10公分像是接到了某种指令一样,蚂蚁工程师们停止了手里的工作,交头接耳一番,面红耳赤一顿,指手画脚一堆,只见一个戴博士帽的老工程师“啪的”一声,猛地一拍大腿,“就这么定了,继续!”
哦!原来是开始了一条,两横,三道,四边的侧向施工,四通八达,纵横交错,曲径通幽,哈哈,这就是蚂蚁王国的大街小巷和高速公路了。
在众多的蚂蚁工程师中,总有那么一两位不干活的,穿着铮亮的大皮鞋,拎着一只硕大的公文包,背着手溜溜达达,仔细一问,那不是瞎逛,原来那是蚂蚁工程师中的包工头或负责检查施工质量的安检员,表现好的就发给工资(食物),怪不得每一只工蚁见到他们都点头哈腰,倍加努力呢。
晚上十点半,包工头宣布:不要见利忘义,赶时间而忘质量,与人方便自己方便,那就跟我们的邻居---绿野悠悠保持一致吧,早睡早起。(虽然它们还不知道我现在正罚抄课文呢50遍,今夜我能入睡?哦,my god!)
so long,see you,byby…说罢全体蚂蚁兴高采烈,勾肩搭背地回到未建完的王国里休息了。
而此时的我,手僵硬,脖梗直,脑迷糊(https://zW.liuxue86.com),早已梦游在未来的金碧辉煌的蚂蚁王国了……
自评:只是课后的一篇小练笔,“请你写一写自己观察过的小虫,注意展开想象,融入自己的感受”,自我感觉还不错,拿来与博友们分享,谢谢啦!
...12-18
下面是出国留学网整理的“2018年监理工程师《建设工程质量控制》知识:抽样检验方案”,欢迎阅读参考,更多有关内容请密切关注本网站监理工程师栏目。
2018年监理工程师《建设工程质量控制》知识:抽样检验方案
一、抽样检验的几个基本概念
1.抽样检验方案
抽样检验方案是根据检验项目特性所确定的抽样数量、接受标准和方法。如在简单的计数值抽样检验方案中,主要是确定样本容量 n 和合格判定数,即允许不合格品件数c,记为方案(n,c)。
如方案(100,3)其含义是样本容量是 100,允许不合格品件数是 3。
2.检验
检验是对检验项目中的性能进行量测、检查、试验等,并将结果与标准规定要求进行比较,以确定每项性能是否合格所进行的活动。它包括对每一个体的缺陷数目或某种属性记录的计数检验和对每一个体的某个定量特性的计量检验。
3.检验批
4.批不合格品率
检验批中不合格品数占整个批量的比重。
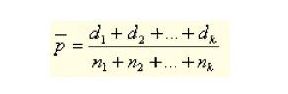
5.过程平均批不合格品率:指对 k 批产品首次检验得到的 k 个批不合格品率的平均值。可以衡量一个基本稳定的生产过程,在较长时间内所提供产品的质量水平。
注意首次检验的含义:在实施二次或多次抽样检验方案时,只能取第一个样本的不合格率计算。

6.接受概率
接受概率又称批合格概率,是根据规定的抽样检验方案将检验批判为合格而接受的概率。一个既定方案的接受概率是产品质量水平,即批不合格品率 p 的函数,用 L(p)表示,检验批的不合格品率 p 越小,接受概率 L(p)就越大。
二、抽样检验方案类型
(一)抽样检验方案的分类

(二)常用的抽样检验方案(熟悉)1.标准型抽样检验方案(1)计数值标准型一次抽样检验方案
计数值标准型一次抽样检验方案是规定在一定样本容量 n 时的最高允许的批合格判定数 c,记作(n,c),并在一次抽检后给出判断检验批是否合格的结论。c 也可用 Ac 表示。c 值一般为可接受的不合格品数,也可以是不合格品率,或者是可接受的每百单位缺陷数。
若实际抽检时,检出不合格品数为 d,...
检验工程师推荐访问