出国留学网专题频道运动学栏目,提供与运动学相关的所有资讯,希望我们所做的能让您感到满意! 从几何的角度(指不涉及物体本身的物理性质和加在物体上的力) 描述和研究物体位置随时间的变化规律的力学分支。以研究质点和刚体这两个简化模型的运动为基础,并进一步研究变形体(弹性体、流体等)的运动。研究后者的运动,须把变形体中微团的刚性位移和应变分开。点的运动学研究点的运动方程、轨迹、位移、速度、加速度等运动特征,这些都随所选参考系的不同而异;而刚体运动学还要研究刚体本身的转动过程、角速度、角加速度等更复杂些的运动特征。刚体运动按运动的特性又可分为平动、绕定轴转动、平面平行运动、绕定点转动和一般运动。运动学为动力学、机械学提供理论基础,也是自然科学和工程技术必需的基础知识。运动学是理论力学的一个分支学科,它是运用几何学的方法来研究物体的运动,通常不考虑力和质量等因素的影响。至于物体的运动和力的关系,则是动力学的研究课题。
03-24
武康大学是在西班牙的穆尔西亚,这地区整个的环境比较优美,而且是位于地中海附近,所以周围交通也非常便捷,对于有些体育生学生来说,比较适合就读该院校的运动专业。下面是出国留学网小编为大家带来的,西班牙留学武康大学运动学专业,希望能够帮助到大家。
一、现状
该院校是一所综合类的,提供给学生的学位情况如下,本科类的有26个,研究生的有45个,博士的有17个。该院校在的位置也是非常好的,地中海的附近风景非常的秀美。这所院校目前国际的留学生到10%,每年都有很多,可以让学生去交换的项目。体育这方面是该院校的强项,特别是像篮球和足球这两方面,该院校每年都能获得联赛的奖项。且该院校的这类专业,会有机会到联赛去实习,因为这所院校特意把这类专业,和世界100多所院校都有合作,比如像加州大、新加坡大、斯坦福这些大学,体育MBA也是有很多实习能够提供给学生的。
二、地理位置
这所院校算是在地中海,风景称得上是十分秀丽的。且这所院校它位于穆尔西亚,大家可能不知道这个地方,是该国的一个省份,人口有200万,移民的人比较多,这边的异域风情是比较好的,学生能够漫步在沙滩之上,看着港口的夜景,以及在轮船上游看清澈的海湾,这确实是学生在课程结束了之后,能够好好放松的地区。另外值得一提的是,该地区的冬季是没有特别寒冷的,就算是到了冬天,也就是16度不会低于10度,是比较温暖的地方。对于有些不喜欢寒冷的学生来说,在这里就读的话...
12-11
下面是出国留学网整理的“2018年一级结构工程师《理论力学》考点复习:点的运动学”,欢迎阅读参考,更多有关一级结构工程师考点的内容请继续关注本网站结构工程师栏目。
2018年一级结构工程师《理论力学》考点复习:点的运动学
一、教学目标:
能够熟练地计算点的位移、速度和加速度。
二、知识结构:
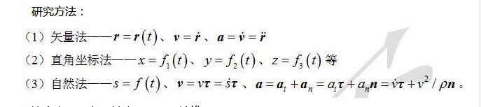
研究内容——研究点相对某参考系的几何位置随时间变化的规律,包括点的运动轨迹、运动方程、速度和加速度。

三、注意点:
(1)矢量法主要用于理论推导;
(2)直角坐标法是较为一般的方法。特别是点的运动轨迹未知的情形;
(3)自然法(弧坐标法)是针对点的运动轨迹已知的情形。运算简便,各量物理意义明确;

结构工程师考试频道推荐阅读:
07-20
运动学(Athletic Training)是理论力学的一个分支学科,它是运用几何学的方法来研究物体的运动,通常不考虑力和质量等因素的影响,来描述和研究物体位置随时间的变化规律。它与动理学、动力学有区别:研究造成运动或影响运动的各种因素的学科叫动理学;研究力学系统由于力的作用随着时间变化而造成的运动的学科称为动力学.
就业展望
一般说来,该专业典型的从业职业及其年薪(以美国为例)如下:
教练(Coach):$36,680*(3)
物理治疗师(Physical Therapist):$81,110*(4)
体育经理人(Sports Manager)
注:这里的典型从业职业并不包括诸如教授、教师,以及从事该专业领域的高层管理人员。另外,这里的薪水为全行业平均薪水,并非该专业本科或研究生毕业生起薪。
典型课程列表
化学Chemistry
解剖学Anatomy
生物学Biology
运动生理学Exercise Physiology
运动机能学Kinesiology
运动心理学Sports Psychology
统计学Statistics
基础体育训练Basic Athletic Training
伤情评估Injury Evaluation
体育训练急救Athletic Training Emergency Care
临床实习Clinical Experience Courses
高级测试技术Advanced Testing Techniques
治疗形式学Therapeutic Modalities
营养学Nutrition
生物力学Biomechanics
注:课程列表为本科专业课程列表。
心理准备
Are You Ready To...?
Prepare to pass the National Athletic Trainers’ Association Board of Certification (BOC) exam, the entry-level standard for athletic trainers Complete four semesters of clinical experience, working with patients Help care for an entire women’s soccer team, for example, to meet the program's volunteer requirement Learn to assess an injury through observation and palpation (examination by touch) Pass tough science classes, learning about the parts of the body and how they work.
选...
06-30
04-08
法国弗朗什-孔泰大学是法国一所着名综合性大学,又名贝桑松大学,位于法国法国东部历史名城贝桑松市。开设有文、理、工、法、医等学科专业,有两万多学生。其应用语言学院更是蜚声法国国内外,每年有四五千名来自世界各地的学生前来接受语言培训。学生经过系统的语言培训,考试及格后可进入法国公立大学就读。
弗朗什孔泰大学初建于1287年,和周边城市布尔哥尼大学联合在一起,是法国历史上最悠久的大学之一,并与巴黎大学和图卢兹大学齐名。由于该学院教学质量高,被法国驻华使领馆列为向中国学生推荐的一流学府,是中国学生到法国学习法语的首选之地。
获得文凭水平:学士三年级
领域
体育运动学
学历要求:高中毕业、运动学本科第一年或第二年的学生;其他申请人需通过材料选拔;或者有相关工作经验
学制:6个学期
身体适应运动与健康学士课程介绍
此课程培养针对儿童、青少年、残疾人等不同人群开展身体锻炼或者研究开发(体能训练、潜能开发、环境适应力、休闲运动)的人员。
课程目标是培养训练人员对特定人群的接待和适应能力、了解特定人群(身体、大脑、感官残障人士、精神系统机能不全者、运动机能障碍者、新陈代谢或呼吸系统有问题这、个体能力缺乏者或者老人)的生理、心理和社会问题;了解政府对残障人士的补助政策;了解不同的残障类型和对他们提供帮助的相关单位,并利用相关政策协助他们恢复身体活动、开发他们的职业潜力,满足此类人群的需求(医疗社会方面和预防医疗方面)。
...10-14
学校名称:佐治亚大学University of Georgia
课程中文名称:人体运动学
课程英文名称:Kinesiology
课程学历:学士
课程长度:4年
非美国国际学生学费(每学年):$28,052
学校简介:
美国佐治亚大学(University of Georgia)是全美国第一所四年制公立大学,成立于1785年,位于佐治亚州雅典市阿森斯,同时也是全美历史最悠久的研究型大学和佐治亚州大学系统规模最大的高等院校。在佐治亚州(Georgia)为一所具有优秀师质的指标性的高等学府,佐治亚大学University of Georgia也是全美国第一所由州出资赞助支持的大学,由14所学院及1所研究所组成,在大学部课程方面,提供了173个不同领域中19种的学士学位。
坐落在全美国最大的大学城之一的雅典城Athens,位于佐治亚州Georgia的东北方,附近为幅员辽阔的森林,气候十分潮湿.佐治亚州(Georgia, 简称GA),美国东南部7个州之一,别称南方帝国州(Empire State of The South)。为纪念英国国王乔治二世而得名,又称乔治亚州。北界田纳西州和北卡罗来纳州,南邻佛罗里达州,东北与南卡罗来纳州接壤,东南临大西洋,西毗亚拉巴马州。面积152488平方公里,在50州内列第24位。人口9,363,941 (2006年)。首府亚特兰大(atlanta)。
课程设置:
本科阶段
企业管理会计英语社会学统计学生物学经济学运动科学金融历史 非洲研究 人类学天文学中学教育细胞生物学保险音乐教育信息管理公共行政微生物学戏剧比较文学人力资源地理哲学音乐舞蹈数学宗教海洋科学遗传学劳工教育体育和运动研究艺术社会学心理学地质学哲学营养学法律风险管理妇女研究环境保护教育药学分子生物学物理学特殊教育计算器科学艺术教育婴幼儿教育国际贸易成人教育植物生物学语言学
09-13
维多利亚大学的历史可以追溯至1916年,是澳大利亚规模最大的大学之一。维多利亚大学是澳洲仅有的五所拥有“复合式”院系结构的大学,在职业技术教育学院(TAFE)和高等教育方面,无论从教学、培训、研究还是奖学金方面学校都非常出色,不但为学生提供进入大学的快捷方式,同时为不同需求的学生提供了灵活多样的课程选择,学校开始的课程有证书课程、高级文凭课程、学士学位课程,授课式研究生课程和研究类研究生课程。
目前维多利亚大学50000多学生学生在当地校区和世界各地合作院校学习,学生主要集中在墨尔本西部,墨尔本市中心CBD和亚洲、欧洲的合作办学院校上课学习。墨尔本西部校区作为主要的校区,学校以为学生提供课程、研究和各类活动为荣,这在当地乃至世界上都具有重大意义!
运动科学与人类运动学士专业描述:
在这迅速发展的体育行业领域,运动科学与人类运动学士专业旨在培养学生成为一名健康与健身专家。完成该专业课程学习的学生可以在临床运动科学、康复、体育科学或人类运动等领域从事各种职业。该专业为学生提供了尖端的运动科学实验室和研究设备,能够让学生对健康、体育活动和运动有深刻的理解。
就业方向:
通过该专业的学习,毕业生可以从事运动生理学家、体育教练、私人教练、健康与健身教练、专业体育团队的运动科学家等等。
入学要求:
学术要求:
高中毕业,获得高中毕业证;
语言要求:
1、雅思6.0分,且单项不低于6.0分;
2、或托福网考80分,且单项不低于20分;或托福机考213分;
3、有双录取。
...07-14
出国留学网高考频道在考试后及时公布各科高考试题答案和高考作文及试卷专家点评。请广大考生家长关注,祝福广大考生在2013年高考中发挥出最佳水平,考出好成绩!同时祝愿决战2014高考的新高三学员能倍加努力,在2014年高考中也能取得优异的成绩。
《高中英语语法-各种“学”和以-logy结尾的词(2)》由出国留学编辑精心为您学习英语准备.liuxue86.com。本内容整理时间为05月12日,如有任何问题请联系我们。
各种“学”和以-logy结尾的词(2)
crystallography 晶体学
ballistics 弹道学
metallurgy 冶金学
genetics 遗传学
astrophysics 天文物理学
acoustics 声学
sonics 声能学
kinematics 运动学
kinesics 动作学
kinetics 动力学
cytology 细胞学
astrospectroscopy 天体光谱学
eulogy 颂扬
kinesiology 运动学
aerodynamics 空气动力学
rocketry 火箭学
stenography 速记学
hydrography 水道学
hydrokinestics 流体动力学
hydromechanics 流体力学
hydroponics 溶液培养学
hydrostatics 流体静力学
hyetology 降水量表
hygienics 卫生学
hymnology 赞美诗
speleology 洞穴学
mythology 神话学
oybernetics 神经机械学
gynecology 妇科学
hygrology 湿度学
typology 印刷学
synecology 环境(群集)生态学
synostelology 关节学
dysgenics 劣生学
syphilology 梅毒学
pharmaceutics 制药学
pharmacy 配药学
phenomenology 现象学
philology 文献学
phonemics 音素学
phonology 音韵学
photics 光学
photobiology 光生物学
photochemistry 光化学
photodynamics 光动力学
photology 光学
photometry 光度学
phraseology 用词,措词
phrenology 骨相学
phycology 藻类学
phytobiology 植物生物学
phytochemistry 植物化学
phytoclimatology 植物气候学
phytopaleontology 地质植物学
phytogeography 植物地理学
phytopathology 植物病理学
deontology 道义学<...
运动学推荐访问