出国留学网专题频道高考数学模拟试题答案栏目,提供与高考数学模拟试题答案相关的所有资讯,希望我们所做的能让您感到满意!
03-08
出国留学网高考网为大家提供2016广东高考适应性测试文科数学答案,更多高考数学试题及高考数学答案请关注我们网站的更新!
2016广东高考适应性测试文科数学答案
2016广东高考适应性测试文科数学试题 >>>点击查看





小编精心为您推荐:
03-08
出国留学网高考网为大家提供2016广东高考适应性测试数学答案(理),更多高考数学试题及高考数学答案请关注我们网站的更新!
2016广东高考适应性测试数学答案(理)
2016广东高考适应性测试数学试题(理) >>>点击查看







小编精心为您推荐:
03-08
出国留学网高考网为大家提供2016石家庄质检二理科数学答案,更多高考数学试题及高考数学答案请关注我们网站的更新!
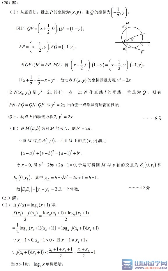
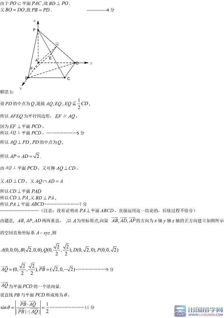
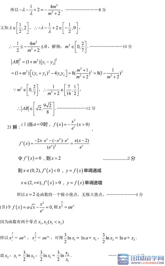
2016石家庄质检二理科数学答案







小编精心为您推荐:
03-08
出国留学网高考网为大家提供2016石家庄质检二文科数学答案,更多高考数学试题及高考数学答案请关注我们网站的更新!
2016石家庄质检二文科数学答案






小编精心为您推荐:
<...
02-01
出国留学高考网为大家提供2016东北三校联考文科数学答案,更多高考数学复习资料请关注我们网站的更新!
2016东北三校联考文科数学答案
2016东北三校联考文科数学试题>>>点击查看





小编精心为您推荐:
05-14
高考数学模拟试题答案推荐访问