出国留学网合肥二模数学答案

出国留学网专题频道合肥二模数学答案栏目,提供与合肥二模数学答案相关的所有资讯,希望我们所做的能让您感到满意!

2015年合肥高三第二次教学质量检测文科数学试卷答案

 

  2015年高三第二次教学质量检测数学试卷答案

  一、选择题

  题号 1 2 3 4 5 6 7 8 9 10

  答案 D A B C A C B D D A

  二、填空题

  11. .

  12. .

  13.600.

  14. .

  15.②③.

  三、解答题:

  16.解(Ⅰ) ,

  在 中, ,得

  .……6分

  (Ⅱ) ,由正弦定理得 ,

  即 ,得

  或 ,

  由 知A 为锐角, .……12分高三数学(文)试题答案 第2页(共4页)

  17.解(Ⅰ)平均值为 .

  ………6分

  (Ⅱ)基本事件有10种,满足条件的基本事件有6种

  由古典概型可得 .……12分

  18.解(Ⅰ)

  即 ,

  又 , ,即 ,所以数列 是公比为2的等比数列.

  又 . ………6分

  (Ⅱ)依题意 , ,

  那么, ,两式相减得

  故 . ………12分

  19.解(Ⅰ)在长方体ABCD-A1B1C1D1中,CD⊥平面BCC1B1

  ∴CD⊥BE, ………3分

  又∵E 为线段CC1的中点,由已知得 ∽

  ∴ ,高三数学(文)试题答案 第3页(共4页)

  ∴ ,

  故BE⊥B1C,

  且

  ∴BE⊥平面B1CD,

  又 平面

  ∴平面 平面B1CD.

  ………7分

  (Ⅱ)取线段A1B1的中点 M,线段BB1的中点 N,

  连结C1M, C1N, MN,易得C1N∥BE, MN∥A1B,

  又 , ,

  平面C1MN∥平面A1BE,故点P 为线段MN 上的动点,且C1P∥面A1BE.

  要使得线段C1P 长度最小,则C1P MN.

  在 中,C1M =C1N= ,MN= ,易得C1P= .

  ………13分

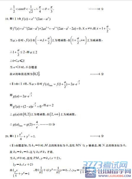
  20.解(Ⅰ)当 时, ,

  由 ,得 或

  ∴ 在 上为增函数,在 上为减函数,在 上为增函数.

  ∴ 的极小值为 , 的极大值为 .

  ………6分

  (Ⅱ)由

  得 或 ( )

  易得 在 上为增函数,在 上为减函数,在 上为增函数;高三数学(文)试题答案 第4页(共4页)

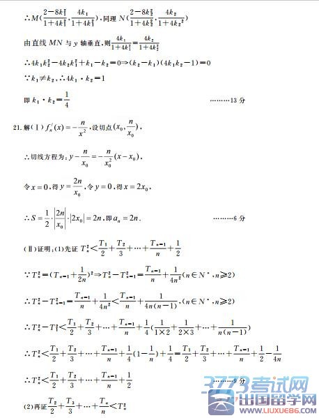
  ...