出国留学网专题频道数学答案栏目,提供与数学答案相关的所有资讯,希望我们所做的能让您感到满意!
06-10
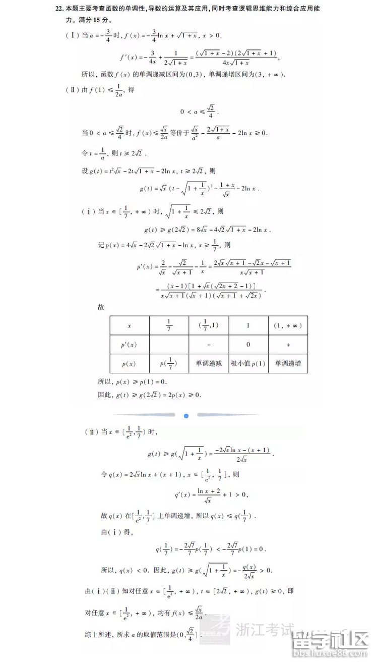
安徽省理科数学高考试卷的答案解析出来了,想了解的快和小编一起来看看吧!下面就由出国留学网带大家了解一下“2022年安徽高考理科数学答案解析”此文本仅供参考,欢迎阅读。
乙卷适用地区:河南、安徽、江西、山西、陕西、黑龙江、吉林、甘肃、内蒙古、青海、宁夏、新疆
自古在竞争当中,细节往往决定成败,2019年高考的奋斗阶段已经是过去,各位考生们肯定都想知道自己在高考中的努力都得到了多少回报!出国留学网高考频道为大家送来及时雨,为大家带来了2019浙江高考数学答案已公布,最后小编祝大家都能在2019年这场与命运竞争的高考中,取得自己最满意的成绩。
2019浙江高考数学答案已公布



小编精心为您推荐:
06-08
高考是人生的第一站,相信自己一定能够通过的,因为你努力了!下面出国留学网小编为你带来2019全国卷1高考理科数学答案(图片版),希望对你有帮助!
2019全国卷1高考理科数学答案(图片版)


推荐阅读:
06-08
五月结束,六月让我们充满紧张,高考在即,多年的寒窗苦读为的就是这一刻。出国留学网高考栏目为您精心准备了“2019年全国卷1高考文科数学答案”,让您从容面对考试,更多高考资讯信息请关注出国留学网高考栏目哟!祝高考顺利!
2019年全国卷1高考文科数学答案
1、C
2、C
3、B
4、B
5、D
6、C
7、D
8、B
9、A
10、D
11、A
12、B
13、y=3x



推荐阅读:
06-08
我们可以把高的学生分为两部分,一部分是高考发挥顺利的学生,一部分是高考发挥失利的学生,高考结束我们也开始不一样的生活。出国留学网高考频道为您提供2019北京高考文科数学答案。更多高考分数线、高考成绩查询、高考志愿填报、高考录取查询信息等信息请关注我们网站的更新!
2019北京高考文科数学答案
1、C
2、C
3、B
4、B
5、D
6、C
7、D
8、B
9、A
10、D
11、A
12、B
13、y=3x




小编精心为您推荐:
06-08
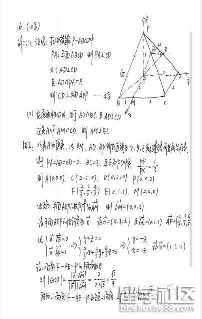
高考可以说是人生中一个很重要的考试,它能决定许多考生的未来,所以大家可得牟足了劲,在高考这两天里全力冲刺呀!出国留学网高考频道会及时为广大考生提供2019年全国卷3高考理科数学答案已公布,更多高考分数线、高考成绩查询、高考志愿填报、高考录取查询信息等信息请关注我们网站的更新!






06-08
高考已经圆满结束了,此时此刻的你们多多少少会有点迷茫,这是正常的,但也请你赶快树立好自己的目标吧!现在就来跟小编一起看看“2019北京高考理科数学答案已公布”吧!更多高考资讯请关注出国留学网高考栏目!
2019北京高考理科数学答案已公布
1、D
2、B
3、D
4、B
5、C
6、A
7、A
8、C
9、
10、
11、40
12、
13、
14、130;15
15、


16、


06-08
出国留学网小编为大家提供2019全国卷1高考理科数学答案已公布,一起来看看吧!希望大家都能顺利通过考试,取得好成绩!
2019全国卷1高考理科数学答案已公布


2019年全国卷1高考理科数学试题已公布
全国卷I数学适用地区(乙):河南、河北、山西、江西、湖北、湖南、广东、安徽、福建、山东


推荐阅读:
数学答案推荐访问