出国留学网专题频道考研数学二答案栏目,提供与考研数学二答案相关的所有资讯,希望我们所做的能让您感到满意!
12-24
2019年考研已经落下帷幕,小编为大家提供2019考研数学二真题及答案解析,一起来看看你那些题目没有得分吧!祝你考出好成绩!
2019考研数学二真题及答案解析
小编精心为您推荐:
与考研数学二答案相关的考研数学
经过几天的考试,考研数学答案已经公布了,小编为大家提供2019考研数学二答案,希望大家能过线,请大家尽早准备复试!祝你成功!
2019考研数学二答案
推荐阅读:
12-23
2019年考研数学考试在12月23日上午已经结束,小编为大家提供2019考研数学答案,考研数学的同学,赶紧来对一下答案吧!祝你考试成功!
与考研数学二答案相关的考研答案
2019年考研数学二考试已经结束了,小编为大家提供2019考研数学二真题及答案,有时间的同学可以自己对一下答案,祝你考试成功!
2019考研数学二真题及答案
2019年考研数学已经结束,小编为大家提供2019考研数学二填空题真题及答案解析,赶紧一起来核对一下答案吧!希望大家都能考出好成绩!
2019考研数学二填空题真题及答案解析
来源:新东方考研
2019考研真题及答案汇总
2019考研数学一真题及答案
12-25
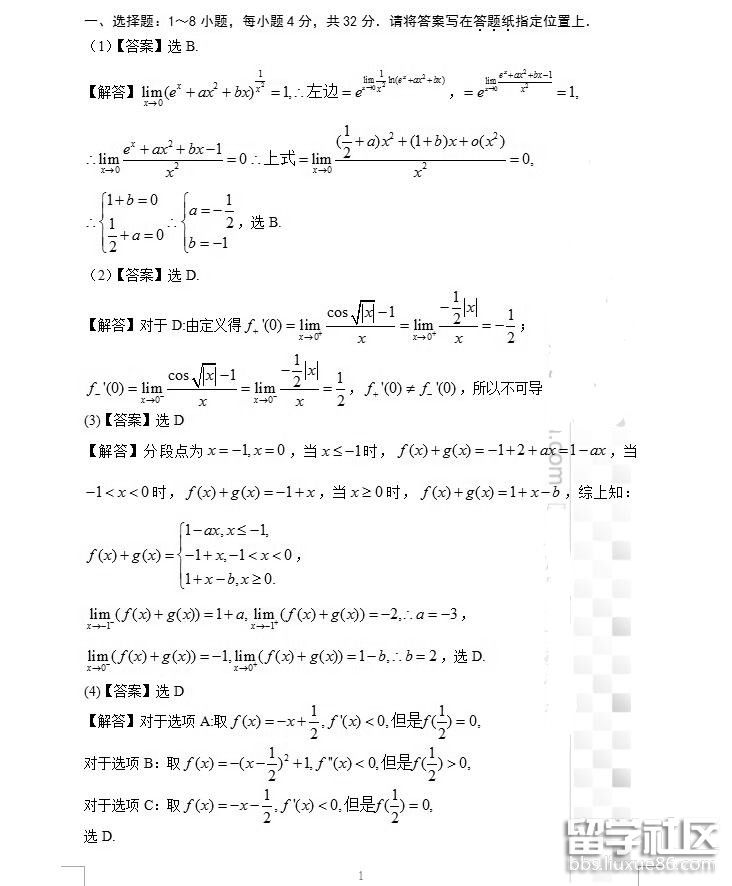
出国留学考研网为大家提供2018考研数学二真题及答案已公布,更多考研资讯请关注我们网站的更新!
2018考研数学二真题及答案已公布
2018考研数学二答案:
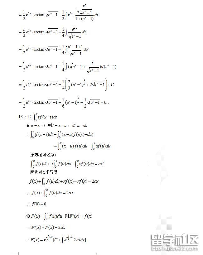
出国留学考研网为大家提供2018年考研数学二真题及答案(图片版),更多考研资讯请关注我们网站的更新!
2018年考研数学二真题及答案(图片版)
出国留学考研网为大家提供2018年考研数学二真题及答案,更多考研资讯请关注我们网站的更新!
2018年考研数学二真题及答案
出国留学考研网为大家提供2018年考研数学一二三答案已公布,更多考研资讯请关注我们网站的更新!
2018年考研数学一二三答案已公布
2018年考研数学一答案
出国留学考研网为大家提供2018年考研数学二答案,更多考研资讯请关注我们网站的更新!
2018年考研数学二答案
考研数学二答案推荐访问
搜索更多内容
考研数学二答案相关推荐
编辑推荐
热点推荐