出国留学网专题频道辅助角公式栏目,提供与辅助角公式相关的所有资讯,希望我们所做的能让您感到满意!
11-25
辅助角公式属于高等三角函数公式中的一个,在考试中使用的频率也是很高。下面是由出国留学网编辑为大家整理的“辅助角公式是什么 要注意哪些地方”,仅供参考,欢迎大家阅读本文。
辅助角公式是什么
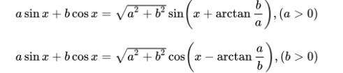
辅助角公式是一种高等三角函数公式,使用代数式表达为asinx+bcosx=√(a²+b²)sin[x+arctan(b/a)](a>0)。
辅助角公式的具体内容

该公式的主要作用是将多个三角函数的和化成单个函数,以此来求解有关最值问题。
拓展阅读:辅助角公式的记忆方法
很多人在利用辅助角公式时,经常忘记反正切到底是b/a还是a/b,导致做题出错。其实有一个很方便的记忆技巧,就是不管用正弦还是余弦来表示asinx+bcosx,分母的位置永远是你用来表示函数名称的系数。
例如用正弦来表示asinx+bcosx,则反正切就是b/a(即正弦的系数a在分母)。如果用余弦来表示,那反正切就要变成a/b(余弦的系数b在分母)。
08-04
数学是许多人的短板,那么辅助角公式是什么呢?多久学的呢?感兴趣的小伙伴快来和小编一起看看吧。下面是由出国留学网小编为大家整理的“辅助角公式是什么时候学的”,仅供参考,欢迎大家阅读。
辅助角公式是什么时候学的
辅助角公式是高中数学必修四的内容,辅助角公式如下:
1.两角和差公式 (写的都要记)
sin(A+B)=sinAcosB+cosAsinB;
sin(A-B)=sinAcosB-sinBcosA;
cos(A+B)=cosAcosB-sinAsinB;
cos(A-B)=cosAcosB+sinAsinB;
tan(A+B)=(tanA+tanB)/(1-tanAtanB);
tan(A-B)=(tanA-tanB)/(1+tanAtanB)。
2.用以上公式可推出下列二倍角公式
tan2A=2tanA/[1-(tanA)^2];
cos2a=(cosa)^2-(sina)^2=2(cosa)^2 -1=1-2(sina)^2;
(上面这个余弦的很重要)
sin2A=2sinA*cosA。
3.半角的只需记住这个
tan(A/2)=(1-cosA)/sinA=sinA/(1+cosA)。
4.用二倍角中的余弦可推出降幂公式
(sinA)^2=(1-cos2A)/2;
(cosA)^2=(1+cos2A)/2。
5.用以上降幂公式可推出以下常用的化简公式
1-cosA=sin^(A/2)*2;
1-sinA=cos^(A/2)*2。
拓展阅读:三角函数公式还有哪些
锐角三角函数公式:
sin α=∠α的对边 / 斜边;
cos α=∠α的邻边 / 斜边;
tan α=∠α的对边 / ∠α的.邻边;
cot α=∠α的邻边 / ∠α的对边。
倍角公式:
Sin2A=2SinACosA;
Cos2A=CosA^2-SinA^2=1-2SinA^2=2CosA^2-1;
tan2A=(2tanA)/(1-tanA^2)。
(注:SinA^2 是sinA的平方 sin2(A) )
三倍角公式:
sin3α=4sinα·sin(π/3+α)sin(π/3-α);
cos3α=4cosα·cos(π/3+α)cos(π/3-α);
tan3a = tan a · tan(π/3+a)· tan(π/3-a)。
三倍角公式推导:
sin3a=sin(2a+a)=sin2acosa+cos2asina。
降幂公式:
sin^2(α)=(1-cos(2α))/2=versin(2α)/2;
cos^2(α)=(1+cos(2α))/2=covers(2α)/2;
tan^2(α)=(1-cos(2α))/(1+...
辅助角公式推荐访问