出国留学网专题频道造价工程师案例分析知识点栏目,提供与造价工程师案例分析知识点相关的所有资讯,希望我们所做的能让您感到满意!
07-26
出国留学网小编为你整理“2017年造价工程师《案例分析》考点:现场管理费”哦,欢迎广大网友前来学习,希望对你有所帮助!更多资讯关注出国留学网吧!
施工索赔之现场管理费
——《建设工程造价案例分析》新考点解读
造价案例新版教材已出,相信大家对新版教材已经有了一定的认识,今天小编就带大家分析一个新的考点——现场管理费,它属于案例教材第五章的内容,关乎考试题型的第四题。
一、什么是现场管理费
简单地说,现场管理费就是发生人员窝工费用或者机械闲置费用时施工单位可以向业主索赔的费用之一。旧版教材上面只是弱弱的提到“对于工期索赔成立的事件,在计算窝工费用索赔时也应适当计取现场管理费”,实际的例题当中却很少涉及。而新版教材上面凡是涉及人工窝工费、机械闲置费的地方几乎都提到了现场管理费,所以考试时很有可能也会涉及。
二、什么时候计取现场管理费
前面说到,当发生人员窝工费用或者机械闲置费用时,施工单位可以向业主索赔现场管理费,但是并不是所有的窝工或者机械闲置都可以索赔的,接下来我们就对计取现场管理费的情形做一下总结。
首先,我们先来了解两个概念—— “责任事件”和“风险事件”。“责任事件”是指业主因自身不当行为导致的施工单位的工期、费用损失,是通过自身努力可以避免其发生的事件,比如:延迟提供图纸、延迟提供施工场地。“风险事件”是指非业主自身原因导致的工期、费用损失,是非自身能够避免的事件,比如:停水停电。但除此之外,这里还得再提一下“不可抗力事件”,综合以上三种情形,现场管理费的计取如下:
a.“责任事件”——可以索赔人员窝工、机械闲置费及相应的现场管理费,规费,税金。
b.“风险事件”——可以索赔人员窝工、机械闲置费及相应的规费,税金。
c.“不可抗力事件”——承包人的人员窝工、机械闲置损失由自己承担。
三、现场管理费如何考查
以一道小题来举例,比如:业主因延迟提供图纸导致施工单位人员窝工20个工日,机械闲置2个台班,人员窝工补偿标准40元/工日,机械闲置台班费500元/台班,该工程的管理费按人、材、机费之和的7%(其中现场管理费为4%)计取,利润按人、材、机、管理费之和的4.5%计取,规费和增值税按人、材、机、管理费、利润之和的15.6%计取,那么施工单位可得到的费用索赔为:(20*40+2*500)(1+4%)(1+15.6%)=2164.03元。
以上就是小编为大家总结的现场管理费的所有内容,其实这个新考点一点也不难,大家在考试时,注意根据题目要求和事件情形多加考虑就可以啦~~~
12-29
造价工程师考试就要开始咯,赶快复习起来吧,出国留学网栏目为各位同学准备了“2017造价工程师《案例分析》知识点:估算项目投资总额”,希望对各位考生有帮助。
估算项目投资总额
一、 投资估算的内容
投资估算的费用内容根据分析角度的不同,可有不同的划分。
(1) 从体现建设项目投资规模的角度,投资估算可分为固定资产投资估算和铺底流动资金估算。
其中固定资产投资估算的费用内容又包括建筑安装工程费用、设备及工器具购置费、工程建设其他费用、预备费、建设期贷款利息以及固定资产投资方向调节税(已暂停征收)等。
流动资金是指生产经营性项目投产后,用于购买原材料、燃料、支付工资及其他经营费用等所需的周转资金。它是伴随着固定资产投资而发生的长期占用的流动资产投资,流动资金;流动资产—流动负债。其中,流动资产主要考虑现金、应收账款和存货;流动负债主要考虑应付账款。因此,流动资金的概念,实际上就是财务中的营运资金。
(2)从体现资金的时间价值的角度,可将投资估算分为静态投资和动态投资两项。
静态投资是指不考虑资金的时间价值的投资部分,一般包括建筑安装工程费用、设备及工器具购置费、工程建设其他费用中静态部分(不涉及时间变化因素的部分),以及预备费里的基本预备费(不是全部的预备费不包括预备费里的涨价预备费)等。
动态投资包括工程建设其他投资中涉及价格、利率等时间动态因素的部分,如预备费里的涨价预备费,建设期贷款利息以及固定资产投资方向调节税。
二、投资估算的编制方法
投资估算的编制一般分为静态投资估算的编制、动态投资估算的编制和铺底流动资金估算的编制。
(一)静态投资估算的编制
静态投资估算的编制方法主要有:
1.单位生产能力估算法
依据调查的统计资料,利用相近规模的单位生产能力投资乘以建设规模,即得拟建项目投资。其计算公式为:
拟建项目投资额=(已建类似项目的投资额/已建类似项目的生产能力)*拟建项目的生产能力*综合调整系数
综合调整系数:不同时期、不同地点的定额、单价、费用变更等的综合调整系数。
这种方法把项目的建设投资与其生产能力的关系视为简单的线性关系,估算结果精确度较差。由于在实际工作中不易找到与拟建项目完全类似的项目,通常是把项目按其下属的车间、设施和装置进行分解,分别套用类似车间、设施和装置的单位生产能力投资指标计算,然后加总求得项目总投资。或根据拟建项目的规模和建设条件,将投资进行适当调整后估算项目的投资额。这种方法主要用于新建项目或装置的估算,十分简便迅速。
2.生产能力指数法
这是一种根据已建类似项目的投资额和生产能力及拟建项目的生产能力估算拟建项目的投资额的方法,要求资料可靠,条件基本相同。其计算公式为
投资额=已建项目投资额*(拟建项目生产能力/已建项目生产能力)x*综合调整系数
其中x为生产能力系数。若两个项目的规模比值在0.5~2时,可取n等于1。题目中一般给定此系数。生产能力指数法与单位生产能力估算法相比精确度略高。
这种估价方法不需要详细的工程设计...
12-14
出国留学网小编们精心为广大考生准备了“2017造价工程师《案例分析》知识点:安全施工”,各位同学赶快学起来吧,做好万全准备,祝各位同学考试顺利通过。更多相关资讯请持续关注出国留学网。
1、安全施工 :安全事故的责任和费用由责任方承担。发生重大伤亡和其他安全事故由承包方上报有关部门及工程师。在动力设备、输电线路、地下管道、密封防震车间、易燃易爆地段及临街交通要道施工应提出安全保护措施,由工程师确认实施,费用由发包人承担。实施爆破作业、在放射和有毒害环境中施工时,承包人应在施工前14天书面通知工程师,并提出安全措施。确认后实施费用有发包人承担。
2、 专利技术:发包人要求的由发包人办理手续并负担费用,承包人实施。承包人提出应报工程师批准后实施,手续、实施和费用有承包人承担。擅自使用侵犯他人专利权的有责任人承担全部责任。
3、 文物及地下障碍物:施工中发现有文物及对考古地质有研究价值的物品时,承包人应立即保护好现场并于4小时内书面报告工程师,工程师应在通知后24小时内书面报告当地文物部门,双方应按文物部门要求采取保护措施,发包人承担费用并顺延工期。发现地下障碍物时应8小时内报告书面通知工程师,并提出处置方案,工程师24小时内确认或提出修改意见,发包人承担费用并顺延工期。
4、 不可抗力事件:工程施工中的不可抗力的内容包括(战争、动乱、空中飞行物坠落;非承包人原因造成的爆炸、火灾;专用条款约定的程度的风、雨、雪、洪水、地震等自然灾害)。
不可抗力事件发生后立即通知工程师并应积极采取措施,尽量减少损失,48小时内向工程师通报受害情况和损失情况,以及预计清理修复的费用,若持续发生应每隔7天报告一次受害情况,事件结束14天内提交清理 修复费用的正式报告及有关资料。
责任承担方式:双方人员伤亡由各自负责并负担相应费用;承包人的机械设备损坏及停工损失有承包人负责;工程本身损害、第三方人员伤亡、财产损失、运至工地用于施工的材料和待安装的设备、清理和修复费用、应工程师要求留守施工场地的管理和保卫人员的费用均由发包方承担;延误的工期相应顺延。
5、 保险:工程本身、施工场地的发包方人员及第三方人员、运至工地内用于工程的材料和待安装的设备均有发包人(可委托承包人)办理保险,并支付费用。承包人办理从事危险作业的职工办理意外伤害险、施工场地的自有人员和施工机械设备办理保险,并支付费用。
保险前双方(保险人和被保险人)有告知的义务,保险后有提醒与改进义务,事故后有通知、保护、避免扩大、赔偿的义务。支付了全部保险金额且相当于保险价值其受损标的全部权利归保险人,保险金额低于保险价值应取得相应保险标的的部分权利。
6、 担保:双方应相互提供履约担保。
7、 工程分包:承包人必须自行完成建设项目(单项工程或单位工程)的主要部分且半数以上,非主要部分或专业性较强的可在发包方同意前提下分包,并签订分包合同,分包单位应对承包单位负责,承包单位对分包单位有监管责任及连带责任,工程价款由承包单位与分包单位结算。
工程变更与合同价款调整;施工索赔;
...12-01
“2017年造价工程师《案例分析》易错点”一文由出国留学网造价工程师考试栏目整理,希望可以帮助到广大考生,了解更多相关讯息,请继续关注我们网站的更新!
2017年造价工程师《案例分析》易错点
1、现金流量表的固定资产投资不含利息;资金来源与运用表的固定资产投资含利息。
2、投资回收期<营业期,不是项目可行的判断依据;投资回收期<行业基准回收期才是。
3、忘了转化名义利率。
4、固定资产余值与残值混淆。
5、可还贷款额=税后利润+折旧+摊销,而非利润总额
6、决策树如方案期不同,不能比较现值,要比较年值。
7、每天的挖土量不是挖土机数量X挖土机工作量,而是总工程量/作业天数
8、价值工程的方案比选,V=1不是最优,V最大才是最优 .
9、人工(机械)的预算定额都是时间定额加人工(机械)幅度差,而非产量定额。预算定额和企业定额的单位不同。通常扩大一点。
10、投资利润率和利税率的分母记得加入流动资金。
11、进口硬件啥税都计,计税软件除了运输费、运输保险费啥税都计,不计税软件除了银行财务费啥税都不计。如有消费税,增值税要计消费税,总价要减消费税。
12、类似工程预算法先乘综合差异系数再修正结构差异,别搞反了。
13、多方案报价指条款改动;增加建议方案指对设计方案修改,两者均需变动前后报价 .
14、决策点 后面无概率,机会点后面概率合为1
15、206号文的计费程序有三种,很好记,用多赚钱的方法计费就行了:
人工机械比例小――用直接费计费
人工机械比例大――用人工机械计费
纯包工――用人工费计费
16、中标通知书是发出时刻生效,和一般的承诺的达到时刻生效不同。
17、投标单位的报价不能计入算术平均值,不等于废标。
18、从承包商的角度考虑:现金流量图的工程款为正,扣款为负。发包方反之。
19、合同按计价方式分:固定,可调,成本加酬金;按付款方式分:总价,单价,成本加酬金;案例一般考后者。
20、不同事件导致的共同时期的损失,按枪打出头鸟原则,谁先发生谁负责。
21、索赔的人工机械窝工不计综合费,增加的人工机械才计;
22、通常索赔工期考虑总时差,而非自由时差;
23、注意合同工期,计算工期,实际工期,甲方导致的工期,承包方导致的工期的区别
24、签证款是先调价再索赔再扣保留金;签付款是扣预付款、甲供料、半月款、扣留款; 来源:考试大
25、预付款为合同价的一定比例时,注意超过合同价款的工程款不再按主材比例扣除预付款,否则还款大于预付款;
26、土地征用费入固定资产;土地使用权出让金入无形资产;
27、每月已完工程计划投资不是简单的 拟完计划/已完实际时间,在已完工程实际投资每月投资不平均时,还要考虑已完工程实际投资的费用进去。
28、注意...
12-01
“2017造价工程师案例分析讲义:施工图预算的编制”一文由出国留学网造价工程师考试栏目整理,希望可以帮助到广大考生,了解更多相关讯息,请继续关注我们网站的更新!
2017造价工程师案例分析讲义:施工图预算的编制
施工图预算是确定建安工程预算造价的文件,是由设计单位在施工图完成后,根据施工图设计图纸、现行预算定额、费用定额以及地区设备、材料、人工、施工机械台班等预算价格编制和确定的建安工程造价的文件,相对于设计概算中的单位工程概算和单项工程概算,施工图预算要更加具体、准确,更符合实际情况。
施工图预算的编制
施工图预算有单位工程预算、单项工程预算和建设项目总预算。单位工程预算是根据施工图设计文件、现行预算定额、费用标准以及人工、材料、设备、机械台班等预算价格资料,以一定的方法,编制单位工程的施工图预算。单位工程施工图预算的汇总,就是单项工程的施工图预算。而建设项目总预算,则是各个单项工程施工图预算的汇总。
1、编制依据
施工图预算的编制依据主要包括:
(1)施工图纸及说明书和标准图集;
(2)现行预算定额及单位估价表;
(3)施工组织设计及施工方案;
(4)人工、材料、机械台班预算价格及调价规定;
(5)建安工程费用定额;
(6)预算工作手册及有关工具书。
2、编制步骤
施工图预算的编制过程大致可分为五个步骤。
(1)根据施工图纸及全国统一的工程量计算规则,计算各分项工程的工程量。工程量的计算是施工图预算编制中工作量最大,也是十分重要的一项工作,在案例分析中,应注意把这一部分的内容与前面工程量计算部分的内容结合起来进行学习。
(2)根据计算出(或在案例题目中给出)的各分项工程的工程量、定额消耗指标、砂浆及混凝土配合比等资料进行工料分析,计算出工程所需的人工、材料、机械的消耗量。
(3)根据题目中给出的资源价格表计算出人工费、材料费、机械费,此三项费用的合计即为定额直接费。
(4)根据题目中给出的费率计算规定计算各项费用。在这一步骤中,主要应注意各项费用的计算基础,如间接费的计算基础是直接工程费,利润的计算基础是直接工程费加间接费,而税金的计算基础是直接工程费加间接费加利润。另外还应注意各项费用的组成内容,如直接工程费不仅包括定额直接费,还包括脚手架费及零星工程费等,这些都是案例分析应注意的问题。
(5)汇总以上计算出的各项费用,即可编制出工程的施工图预算。
3、编制方法
编制施工图预算主要有单价法和实物法两种方法。
单价法
单价法是用事先编制好的分项工程的单位估价表编制施工图预算的一种方法,其计算公式为:
单位工程施工图预算直接费=【∑(工程量*预算综合单价)】*(1+其他直接费率+现场经费率)
利用单价法编制施工图预算时,主要步骤有二个,一是工程量的计算...
11-29
想报考2017年造价工程师的小伙伴们要开始准备了,只有多记多练,多多复习,才能取得好的成绩。出国留学网造价工程师考试栏目为你提供“造价工程师2017案例分析重要知识点”,希望对大家有所帮助!
(2)预付款的扣回
工程预付款属于预付性质,在工程后期应随工程所需材料储备逐步减少,以抵充工程价款的方式陆续扣还。常用的扣回方法有两种:
1)按照公式来确定起扣点和抵扣额
这种方法原则上是以未施工工程所需材料的价值相当于预付款数额时起扣,于每次结算工程价款时,按材料比重扣抵工程价款,竣工前全部扣清。一般适用于总价合同。
具体计算步骤为:
①首先确定预付款??
预付款限额起扣点承包工程价款总额主要材料所占比重
例:合同价200万,预付24万,主要材料、构件所占比重为60%,起扣点就是:200-24/60%=200-40=160万,所以当工程完成160万时,开始起扣。
②第1次扣还数额=(累计工程款-起扣点数额)×主材比重
③第i次扣还数额=当月实际工程款×主材比重(i>1)
2)按照双方约定方式和比例扣还预付款
根据《招标文件范本》的规定,在乙方完成金额累计达到合同总价的10%后,由乙方开始向甲方还款,甲方从每次应付给乙方的金额中扣回工程预付款,甲方至少在合同规定的完工期前三个月将工程预付款的总计金额按逐次分摊的办法扣回。
4.工程质量保证金的计算
工程质量保证金(保证金)的扣留有如下两种方法:
(1)进度款支付余额法。当工程进度款支付累计额达到工程造价的一定比例(通常为95%~97%)时停止支付,扣留造价部分作为保证金。
(2)进度款比例法。从第一个付款周期开始,在发包人的进度付款中,按约定比例扣留质量保证金,直至扣留的质量保证金总额达到专用条款约定的金额或比例为止。全部或者部分使用政府投资的建设项目,按工程价款结算总额5%左右的比例预留保证金。社会投资项目采用预留保证金方式的,预留保证金的比例可参照执行。
5.工程价款的调整原则
(1)综合单价的调整
调整方式、方法应在合同中约定。若合同未作约定,可参照以下原则办理:
(1)当工程量清单项目工程量的变化幅度在15%以内时,其综合单价不作调整,执行原有综合单价。
(2)当工程量清单项目工程量的变化幅度在15%以外,超出部分的综合单价应下调,低于部分的综合单价应上调。
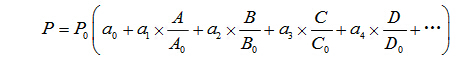
2、动态调值公式 动态调值公式为:

式中:P—调值后合同价款或工程实际结算款;
P0—合同价款中工程预算进度款;
a0—固定要素,代表合同支付中不能调整的部分;
a1、a2、a3、a4……—代表有关各项费用(如:人工费用、钢材费用、水泥费用、运输费等)在合同总价中所占的比重
...
11-29
想报考2017年造价工程师的小伙伴们要开始准备了,只有多记多练,多多复习,才能取得好的成绩。出国留学网造价工程师考试栏目为你提供“造价工程师2017案例分析知识点解析”,希望对大家有所帮助!
第三章 工程计量与计价
主要知识点详解一:定额的编制(可与计量计价题相结合)
一、定额的基本分类
1.定额按物质消耗可分为:人工定额、材料定额、机械台班定额
2.定额按编制的顺序及作用可分为:施工定额、预算定额、概算定额、概算指标、估算指标等
二、人、材、机定额消耗量的确定
1.人工定额又称劳动定额,可分为时间定额与产量定额,两者互为倒数关系。
(1)工人工作必须消耗的时间,即劳动定额的时间定额包括有效工作时间(基本工作时间、辅助工作时间、准备与结束工作时间)、休息时间、不可避免的中断时间。
(2)工序作业时间=基本工作时间+辅助工作时间=基本工作时间/(1-辅助时间%) 规范时间=准备与结束工作时间+不可避免的中断时间+休息时间 定额时间=工序作业时间/(1-规范时间)=(基本工作时间+辅助工作时间)/(1-准备与结束时间占工作日的%-不可避免的中断时间占工作日的%-休息时间占工作日的%)
2.材料消耗定额包括净用量与损耗量
3.机械台班定额包括产量定额与时间定额,两者互为倒数关系。
机械台班产量定额=机械1h纯工作正常生产率×工作班延续时间×机械正常利用系数
三、预算定额的编制
1.人工消耗量=基本用工+其他用工
其他用工=超运距用工+辅助用工+人工幅度差用工
人工幅度差=(基本用工+辅助用工+超运距用工)×人工幅度差系数
2.材料消耗量=材料净用量+损耗量
3.机械台班消耗量=施工定额机械台班消耗量×(1+机械幅度差系数)
主要知识点详解二(核心):工程计量与计价
1.量:建筑面积、建筑工程、装修工程、安装工程的工程量 计量规范:2013计价与计量系列规范(1本规范、9个专业)
清单表的五要素:项目编码、项目名称、项目特征、计量单位、工程数量 要求:根据图纸计算相应工程量并填写清单报表
2.价:包括清单综合单价及合价。其中清单综合单价由人工费、材料和工程设备费、施工机具使用费、企业管理费、利润、一定范围的风险构成,单位工程费由分部分项费、措施项目费、其他项目费、规费、税金构成。
3.综合单价计算思路:
综合单价=∑(方案量×方案单价)/清单量
...11-28
想报考2017年造价工程师的小伙伴们要开始准备了,只有多记多练,多多复习,才能取得好的成绩。出国留学网造价工程师考试栏目为你提供“2017造价工程师案例分析常考知识点”,希望对大家有所帮助!
基本题型三:价值工程在多方案选优中的应用
相关知识点汇总如下:
1.价值工程理论在多方案选优中的应用 解题思路如下:
(1)确定各项功能的功能重要系数:
运用0-1评分法或0-4评分法对功能重要性评分,并计算功能重要性系数(即功能权重);
①0-1评分法的运用
● 仅给出各功能因素重要性之间的关系,将各功能一一对比,重要者得1分,不重要的得0分。
● 为防止功能指数中出现零的情况,需要将各功能得分分别加1进行修正后再计算其权重。最后用修正得分除以总得分即为功能权重。计算式为: 某项功能重要系数=该功能修正得分/∑各功能修正得分
● 0-1评分法的特点是:两功能相比较时,不论两者的重要程度相差多大,较重要的得1分,较不重要的得0分。 ②0-4评分法的运用
● 仅给出各功能因素重要性之间的关系,各功能因素的权重需要根据0-4评分法的计分办法自行计算。
● 按0-4评分法的规定,两个功能因素比较时,其相对重要程度有以下三种基本情况:
很重要的功能因素得4分,另一很不重要的功能因素得0分; 较重要的功能因素得3分,另一较不重要的功能因素得1分; 同样重要的功能因素各得2分。 ● 功能权重的计算式为:
某项功能重要系数=该功能得分/∑各功能得分
说明:这一步是解题的关键,须注意:①对角线法则;②总分规律。
①对角线法则
0-1评分法中,以“×”为对角线对称的两个位置的得分之和一定为1分; 0-4评分法中,以“×”为对角线对称的两个位置的得分之和一定为4分。
②总分规律
无论两两对比关系怎样变化:
0-1评分法中,最后功能总得分之和一定等于n(n-1)/2,修正功能总得分之和一定等于n(n+1)/2;
0-4评分法中,最后功能总得分之和一定等于2n(n-1)。
(2)计算各方案的功能加权得分:
根据专家对功能的评分表和功能重要性系数,分别计算各方案的功能加权得分;
(3)计算各方案的功能指数(FI):
各方案的功能指数=该方案的功能加权得分/Σ各方案加权得分;
(4)计算各方案的成本指数(CI):
各方案的成本指数=该方案的成本或造价/Σ各方案成本或造价;
(5)计算各方案的价值数(VI):
各方案的价值指数=该方案的功能指数/该方案的成本指数;
(6)方案选择:
比较各方案的价值指数,选择价值指数最大的为最优方案。
2.价值工程理论在单方案改进中的应用 解题思路步骤如下:
(1)计算各项功能的功能指数FI: FI=该功能得分/&Sig...
11-28
想报考2017年造价工程师的小伙伴们要开始准备了,只有多记多练,多多复习,才能取得好的成绩。出国留学网造价工程师考试栏目为你提供“2017造价工程师案例分析重要知识点解析”,希望对大家有所帮助!
第一章建设项目投资估算与财务评价
基本题型一:总投资构成
1.建设项目总投资估算内容
(1)固定资产投资(工程造价)构成中,工程费用、工程建设其他费用、基本预备费部分为静态投资部分,价差预备费和建设期利息为动态投资部分。
(2)固定资产投资在竣工决算时可分别形成新的固定资产、流动资产、无形资产和其他资产。在计算项目总成本费用时,固定资产要考虑折旧,无形资产与其他资产要考虑摊销。
2.投资估算的方法有:单位生产能力估算法、生产能力指数估算法、比例估算法、系数估算法、混合法等。其中考生需要掌握的是运用生产能力指数估算法及构成组合法进行建设项目总投资的估算。其相关公式如下:
(1)生产能力指数法
C2=C1(Q2/Q1)n×f
式中:C 2—拟建项目总投资; C 1—类似项目总投资; Q 2—拟建项目生产能力; Q 1—类似项目生产能力;
n—生产能力指数,若已建类似项目的生产规模与拟建项目生产规模相差不大,Q 1与Q2的比值在0.5~2之间,可取n=1;f—综合调整系数。
(2)设备及工器具购置费(采用装运港船上交货方式)
国产设备购置费=国产设备原价+运杂费
进口设备购置费=抵岸价+国内运杂费 抵岸价(原价)=离岸价格(FOB)+国际运费+运输保险费+关税+进口环节增值税+外贸手续费+银行财务费+(消费税+车辆购置税)
其中:
国际运费=FOB*运费率 国际运输保险费=(FOB+国际运费)/(1-保险费率)*保险费率
到岸价(CIF)=FOB+国际运费+运输保险费
银行财务费=FOB*人民币外汇汇率*银行财务费率
外贸手续费=CIF*人民币外汇汇率*外贸手续费率
关税=CIF*人民币外汇汇率*进口关税税率
增值税=(CIF+关税+消费税)*增值税率
(3)建筑安装工程费(206号文) 建安工程费=直接费+间接费+利润+税金
其中,直接费=直接工程费+措施费 直接工程费=人工费+材料费+机械费 措施费=安全文明施工费+二次搬运费+临时设施费+夜间施工费+非夜间施工照明+大型机械进出场费+模板支架费+垂直运输费+排水费+降水费+超高工程附加费+竣工资料编制费+。。。。。。
间接费=规费+企业管理费
规费=社会保险费+住房公积金+工程排污费
社会保险费=养老保险费+失业保险费+医疗保险费+工伤保险费+生育保险费
企业管理费=施工企业管理人员工资+...
税金=营业税+城市维护建设税+教育费附加+地方教育附加
(4)预备费=基本预备费+价差预备费
式中:基本预备费=(设备及工器...
11-25
想报考2017年造价工程师的小伙伴们要开始准备了,只有多记多练,多多复习,才能取得好的成绩。出国留学网造价工程师考试栏目为你提供“造价工程师2017案例分析必备知识点”,希望对大家有所帮助!
第四节 财务评价指标的敏感性分析
敏感性分析是经济决策中常用的一种不确定性方法,它是通过计算,分析项目的现金流动情况发生变化时对项目经济评价指标的影响,从中找出敏感因素,并确定其影响程度,为采取必要的风险防范措施提供依据。
在案例分析中,主要侧重对单因素敏感性分析的考核。
单因素敏感性分析是指在进行敏感性分析时,每次假定只有一个因素是变化的,而其他的因素均不发生变化,分析这个变化的因素对评价指标的影响程度,从而确定其敏感程度。
单因素敏感性分析的做法如下。
(1)确定敏感性分析的对象,也就是确定要分析的评价指标。在案例分析中,往往以净现值、内部收益率或投资回收期为分析对象。
(2)选择需要分析的不确定性因素。在案例分析中,一般取总投资、销售收入或经营成本为影响因素。
(3)计算各个影响因素对评价指标的影响程度。在案例分析中,这一步主要是根据现金流量表进行的。首先计算各个影响因素的变化所造成的现金流量的变化,然后再计算出因此所造成的评价指标的变化。
(4)确定敏感因素。敏感因素是指对评价指标产生较大影响的因素。在案例分析中,可利用相对测定法来确定敏感因素。具体做法是:设定要分析的影响因素均从初始值开始变动,且每次变动的幅度均相同,分别计算在同一变动幅度下各个影响因素对评价指标的影响程度,其中影响程度大的因素就是敏感因素。
(5)通过分析和计算敏感因素的影响程度,确定项目可能存在的风险的大小及风险影响因素。
...造价工程师案例分析知识点推荐访问