出国留学网专题频道高分冲刺经典习题栏目,提供与高分冲刺经典习题相关的所有资讯,希望我们所做的能让您感到满意!
同学们复习《数轴》时要注意重难点:会说出数轴上已知点所表示的数,能将已知数在数轴上表示出来。学习难点:利用数轴比较有理数的大小 从直观认识到理性认识,从而建立数轴概念。更多有关2014中考数学的信息可登录出国留学网数学频道,欢迎收藏本站(CTRL+D即可收藏)!

| 2014中考各科目复习资料汇总 | ||
|---|---|---|
| 语文:阅读 诗歌 名句 综合 | 作文:素材 范文 技巧 中考范文 | 数学:填空 压轴 模拟 解题 |
同学们复习《正方形》时要注意重难点:1、会说出正方形的有关性质和判定方法。2、能运用正方形的性质解决有关计算和证明问题。更多有关2014中考数学的信息可登录出国留学网数学频道,欢迎收藏本站(CTRL+D即可收藏)!



| 2014中考各科目复习资料汇总 | ||
|---|---|---|
| 语文:阅读 诗歌 名句 综合 | 作文:素材 范文 技巧 中考范文 | 数学:填空 压轴 模拟 解题 |
同学们复习《无理数》时要注意重难点:重点:了解无理数的几种表现形式,会区分有理数和无理数。更多有关2014中考数学的信息可登录出国留学网数学频道,欢迎收藏本站(CTRL+D即可收藏)!

| 2014中考各科目复习资料汇总 | ||
|---|---|---|
| 语文:阅读 诗歌 名句 综合 | 作文:素材 范文 技巧 中考范文 | 数学:填空 压轴 模拟 解题 |
| 英语:单选 阅读 易错 综合 | ||
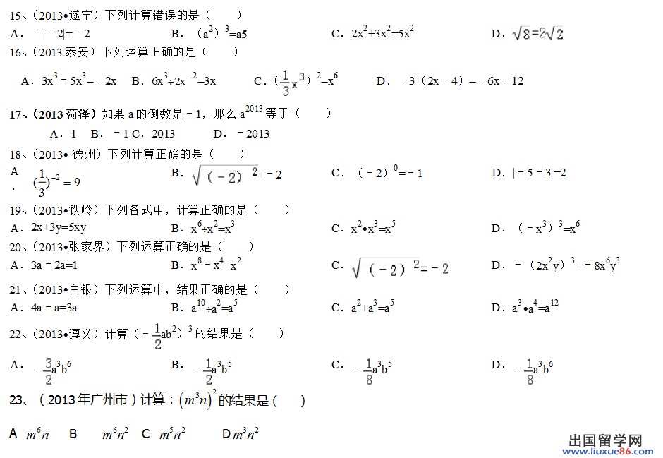
同学们复习《幂运算》时要注意重难点:重点:幂的运算法则的应用。难点:法则的逆向运用。更多有关2014中考数学的信息可登录出国留学网数学频道,欢迎收藏本站(CTRL+D即可收藏)!




| 2014中考各科目复习资料汇总 | ||
|---|---|---|
| 语文:阅读 诗歌 名句 综合 | 作文:素材 范文 技巧 中考范文 | 数学:填空 压轴 模拟 解题 |
同学们复习《菱形》时要注意重难点:1、掌握菱形的概念、性质及判定。2、理解菱形、矩形与平行四边形的区别与联系。3、会求解菱形的面积。4、菱形的对称性。更多有关2014中考数学的信息可登录出国留学网数学频道,欢迎收藏本站(CTRL+D即可收藏)!




| 2014中考各科目复习资料汇总 | ||
|---|---|---|
| 语文:阅读 诗歌 名句 综合 | 作文:素材 范文 技巧 中考范文 | 数学:填空 压轴 模拟 解题 |
同学们复习《一次函数》时要注意重难点:1.巩固一次函数的概念、图象及性质,对一次函数的重点知识有一个整体把握,2.进一步体会数学来源于生活又服务于生活,提高学生数学知识的应用意识。3.通过亲自参与合作学习,锻炼其概括总结能力、分析能力、识图能力。更多有关2014中考数学的信息可登录出国留学网数学频道,欢迎收藏本站(CTRL+D即可收藏)!





| 2014中考各科目复习资料汇总 | ||
|---|---|---|
| 语文:阅读 诗歌 名句 综合 | 作文:素材 范文 技巧 中考范文 | |
同学们复习《一次函数》时要注意重难点:1.巩固一次函数的概念、图象及性质,对一次函数的重点知识有一个整体把握,2.进一步体会数学来源于生活又服务于生活,提高学生数学知识的应用意识。3.通过亲自参与合作学习,锻炼其概括总结能力、分析能力、识图能力。更多有关2014中考数学的信息可登录出国留学网数学频道,欢迎收藏本站(CTRL+D即可收藏)!




| 2014中考各科目复习资料汇总 | ||
|---|---|---|
| 语文:阅读 诗歌 名句 综合 | 作文:素材 范文 技巧 中考范文 | |
同学们复习《实数运算》时要注意重难点:1、能够灵活的将二次根式化成最简二次根式。2、了解同类二次根式,能够将同类二次根式进行合并。3、掌握二次根式的加、减运算的方法步骤,能进行二次根式的混合运算,掌握乘法公式在混合运算的应用。更多有关2014中考数学的信息可登录出国留学网数学频道,欢迎收藏本站(CTRL+D即可收藏)!


| 2014中考各科目复习资料汇总 | ||
|---|---|---|
| 语文:阅读 诗歌 名句 综合 | 作文:素材 范文 技巧 中考范文 | 数学:填空 压轴 模拟 解题 |
同学们复习《全等三角形》时要注意重难点:重点难点:运用全等三角形的性质解决相关的计算及证明等问题。更多有关2014中考数学的信息可登录出国留学网数学频道,欢迎收藏本站(CTRL+D即可收藏)!





| 2014中考各科目复习资料汇总 | ||
|---|---|---|
| 语文:阅读 诗歌 名句 综合 | 作文:素材 范文 技巧 中考范文 | |
同学们复习《相似三角形》时要注意重难点:1.理解并掌握两个图形相似的概念。2.了解成比例线段的概念,会确定线段的比。更多有关2014中考数学的信息可登录出国留学网数学频道,欢迎收藏本站(CTRL+D即可收藏)!







| 2014中考各科目复习资料汇总 | ||
|---|---|---|
| 语文:阅读 诗歌 名句 综合 | 作文:素材 范文 技巧 中考范文 | |
高分冲刺经典习题推荐访问