出国留学网专题频道高考常用数学公式栏目,提供与高考常用数学公式相关的所有资讯,希望我们所做的能让您感到满意!
还不清楚常用高考数学公式有哪些的小伙伴,赶紧来瞧瞧吧!下面由出国留学网小编为你精心准备了“高考常用数学公式有哪些”,本文仅供参考,持续关注本站将可以持续获取更多的知识点!
两角和公式
1、sin(a+b)=sinacosb+cosasinbsin(a-b)=sinacosb-sinbcosa。
2、cos(a+b)=cosacosb-sinasinbcos(a-b)=cosacosb+sinasinb。
3、tan(a+b)=(tana+tanb)/(1-tanatanb)tan(a-b)=(tana-tanb)/(1+tanatanb)。
4、ctg(a+b)=(ctgactgb-1)/(ctgb+ctga)ctg(a-b)=(ctgactgb+1)/(ctgb-ctga)。
倍角公式
1、tan2a=2tana/(1-tan2a)ctg2a=(ctg2a-1)/2ctga。
2、cos2a=cos2a-sin2a=2cos2a-1=1-2sin2a。
半角公式
1、sin(a/2)=√((1-cosa)/2)sin(a/2)=-√((1-cosa)/2)。
2、cos(a/2)=√((1+cosa)/2)cos(a/2)=-√((1+cosa)/2)。
3、tan(a/2)=√((1-cosa)/((1+cosa))tan(a/2)=-√((1-cosa)/((1+cosa))。
4、ctg(a/2)=√((1+cosa)/((1-cosa))ctg(a/2)=-√((1+cosa)/((1-cosa))。
和差化积
1、2sinacosb=sin(a+b)+sin(a-b)2cosasinb=sin(a+b)-sin(a-b)。
2、2cosacosb=cos(a+b)-sin(a-b)-2sinasinb=cos(a+b)-cos(a-b)。
3、sina+sinb=2sin((a+b)/2)cos((a-b)/2cosa+cosb=2cos((a+b)/2)sin((a-b)/2)。
4、tana+tanb=sin(a+b)/cosacosbtana-tanb=sin(a-b)/cosacosb。
5、ctga+ctgbsin(a+b)/sinasinb-ctga+ctgbsin(a+b)/sinasinb。
等差数列
1、等差数列的通项公式为:
an=a1+(n-1)d(1)。
2、前n项和公式为:
Sn=na1+n(n-1)d/2或Sn=n(a1+an)/2(2)。
从(1)式可以看出,an是n的一次数函(d≠0)或常数函数(d=0),(n,an)排在一条直线上,由(2)式知,Sn是n的二次函数(d≠0)或一次函数(d=0,a1≠0),且常数项为0。
...
02-20
出国留学网成人高考栏目为大家带来“2017年成人高考常用数学公式”,大家要做好复习计划,一步一个脚印来,祝大家都能取得优异的成绩,希望此文能帮到您。
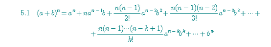
二项式展开公式
三角函数公式
1、两角和公式

2、倍角公式

3、半角公式

4、和差化积


高考常用数学公式推荐访问