出国留学网专题频道高考数学公式栏目,提供与高考数学公式相关的所有资讯,希望我们所做的能让您感到满意!
高考数字是比较难的,那么同学们总结过相应的数学常用公式吗?下面是由出国留学网小编为大家整理的“高考数学常用公式大全”,仅供参考,欢迎大家阅读。
两角和公式
sin(A+B)=sinAcosB+cosAsinB sin(A-B)=sinAcosB-sinBcosA
cos(A+B)=cosAcosB-sinAsinB cos(A-B)=cosAcosB+sinAsinB
tan(A+B)=(tanA+tanB)/(1-tanAtanB) tan(A-B)=(tanA-tanB)/(1+tanAtanB)
ctg(A+B)=(ctgActgB-1)/(ctgB+ctgA) ctg(A-B)=(ctgActgB+1)/(ctgB-ctgA)
倍角公式
tan2A=2tanA/(1-tan2A) ctg2A=(ctg2A-1)/2ctga
cos2a=cos2a-sin2a=2cos2a-1=1-2sin2a
半角公式
sin(A/2)=√((1-cosA)/2) sin(A/2)=-√((1-cosA)/2)
cos(A/2)=√((1+cosA)/2) cos(A/2)=-√((1+cosA)/2)
tan(A/2)=√((1-cosA)/((1+cosA)) tan(A/2)=-√((1-cosA)/((1+cosA))
ctg(A/2)=√((1+cosA)/((1-cosA)) ctg(A/2)=-√((1+cosA)/((1-cosA))
和差化积
2sinAcosB=sin(A+B)+sin(A-B) 2cosAsinB=sin(A+B)-sin(A-B)
2cosAcosB=cos(A+B)-sin(A-B) -2sinAsinB=cos(A+B)-cos(A-B)
sinA+sinB=2sin((A+B)/2)cos((A-B)/2 cosA+cosB=2cos((A+B)/2)sin((A-B)/2)
tanA+tanB=sin(A+B)/cosAcosB tanA-tanB=sin(A-B)/cosAcosB
ctgA+ctgBsin(A+B)/sinAsinB -ctgA+ctgBsin(A+B)/sinAsinB
某些数列前n项和
1+2+3+4+5+6+7+8+9+…+n=n(n+1)/2 1+3+5+7+9+11+13+15+…+(2n-1)=n2
2+4+6+8+10+12+14+…+(2n)=n(n+1) 12+22+32+42+52+62+72+82+…+n2=n(n+1)(2n+1)/6
13+23+33+43+53+63+…n3=n2(n+1)2/4 1*2+2*3+3*4+4*5+5*6+6*7+…+n(n+1)=n(n+1)(n+2)/3
正弦定理 a/sinA=b/sinB=c/s...
还不清楚常用高考数学公式有哪些的小伙伴,赶紧来瞧瞧吧!下面由出国留学网小编为你精心准备了“高考常用数学公式有哪些”,本文仅供参考,持续关注本站将可以持续获取更多的知识点!
两角和公式
1、sin(a+b)=sinacosb+cosasinbsin(a-b)=sinacosb-sinbcosa。
2、cos(a+b)=cosacosb-sinasinbcos(a-b)=cosacosb+sinasinb。
3、tan(a+b)=(tana+tanb)/(1-tanatanb)tan(a-b)=(tana-tanb)/(1+tanatanb)。
4、ctg(a+b)=(ctgactgb-1)/(ctgb+ctga)ctg(a-b)=(ctgactgb+1)/(ctgb-ctga)。
倍角公式
1、tan2a=2tana/(1-tan2a)ctg2a=(ctg2a-1)/2ctga。
2、cos2a=cos2a-sin2a=2cos2a-1=1-2sin2a。
半角公式
1、sin(a/2)=√((1-cosa)/2)sin(a/2)=-√((1-cosa)/2)。
2、cos(a/2)=√((1+cosa)/2)cos(a/2)=-√((1+cosa)/2)。
3、tan(a/2)=√((1-cosa)/((1+cosa))tan(a/2)=-√((1-cosa)/((1+cosa))。
4、ctg(a/2)=√((1+cosa)/((1-cosa))ctg(a/2)=-√((1+cosa)/((1-cosa))。
和差化积
1、2sinacosb=sin(a+b)+sin(a-b)2cosasinb=sin(a+b)-sin(a-b)。
2、2cosacosb=cos(a+b)-sin(a-b)-2sinasinb=cos(a+b)-cos(a-b)。
3、sina+sinb=2sin((a+b)/2)cos((a-b)/2cosa+cosb=2cos((a+b)/2)sin((a-b)/2)。
4、tana+tanb=sin(a+b)/cosacosbtana-tanb=sin(a-b)/cosacosb。
5、ctga+ctgbsin(a+b)/sinasinb-ctga+ctgbsin(a+b)/sinasinb。
等差数列
1、等差数列的通项公式为:
an=a1+(n-1)d(1)。
2、前n项和公式为:
Sn=na1+n(n-1)d/2或Sn=n(a1+an)/2(2)。
从(1)式可以看出,an是n的一次数函(d≠0)或常数函数(d=0),(n,an)排在一条直线上,由(2)式知,Sn是n的二次函数(d≠0)或一次函数(d=0,a1≠0),且常数项为0。
...
11-25
成人高考数学公式有哪些?正在备考的朋友可以来收藏这份学习资料,下面出国留学网小编为你准备了“2021年成人高考数学公式大全”内容,仅供参考,祝大家在本站阅读愉快!







高考数学公式有哪些?为了方便大家可以更好的整理,下面由出国留学网小编为你准备了“高考数学公式总结必背”,仅供参考,持续关注本站将可以持续获取更多的内容资讯!
常用的诱导公式
公式一:
设α为任意角,终边相同的角的同一三角函数的值相等:
sin(2kπ+α)=sinα (k∈Z)
cos(2kπ+α)=cosα (k∈Z)
tan(2kπ+α)=tanα (k∈Z)
cot(2kπ+α)=cotα (k∈Z)
公式二:
设α为任意角,π+α的三角函数值与α的三角函数值之间的关系:
sin(π+α)=-sinα
cos(π+α)=-cosα
tan(π+α)=tanα
cot(π+α)=cotα
公式三:
任意角α与 -α的三角函数值之间的关系:
sin(-α)=-sinα
cos(-α)=cosα
tan(-α)=-tanα
cot(-α)=-cotα
公式四:
利用公式二和公式三可以得到π-α与α的三角函数值之间的关系:
sin(π-α)=sinα
cos(π-α)=-cosα
tan(π-α)=-tanα
cot(π-α)=-cotα
公式五:
利用公式一和公式三可以得到2π-α与α的三角函数值之间的关系:
sin(2π-α)=-sinα
cos(2π-α)=cosα
tan(2π-α)=-tanα
cot(2π-α)=-cotα
公式六:
π/2±α及3π/2±α与α的三角函数值之间的关系:
sin(π/2+α)=cosα
cos(π/2+α)=-sinα
tan(π/2+α)=-cotα
cot(π/2+α)=-tanα
sin(π/2-α)=cosα
cos(π/2-α)=sinα
tan(π/2-α)=cotα
cot(π/2-α)=tanα
sin(3π/2+α)=-cosα
cos(3π/2+α)=sinα
tan(3π/2+α)=-cotα
cot(3π/2+α)=-tanα
sin(3π/2-α)=-cosα
cos(3π/2-α)=-sinα
tan(3π/2-α)=cotα
cot(3π/2-α)=tanα
(以上k∈Z)
注意:在做题时,将a看成锐...
高考数学频道为大家提供高考数学知识点:坐标系与参数方程,更多高考资讯请关注我们网站的更新!
高考数学知识点:坐标系与参数方程

小编精心为您推荐:
高考数学频道为大家提供高考数学公式、定理:计数原理,赶紧收藏吧!更多高考资讯请关注我们网站的更新!
高考数学公式、定理:计数原理

小编精心为您推荐:
高考数学频道为大家提供高考数学复数常用公式,赶紧看看你掌握了多少?更多高考资讯请关注我们网站的更新!
高考数学复数常用公式

小编精心为您推荐:
高考数学频道小编为大家提供高考数学公式、定理:导数及其应用,更多高考资讯请关注我们网站的更新!
高考数学公式、定理:导数及其应用

小编精心为您推荐:
高考数学频道为大家提供高考数学符号、结论:常用逻辑用语,一起来复习一下吧!更多高考资讯请关注我们网站的更新!
高考数学符号、结论:常用逻辑用语

小编精心为您推荐:
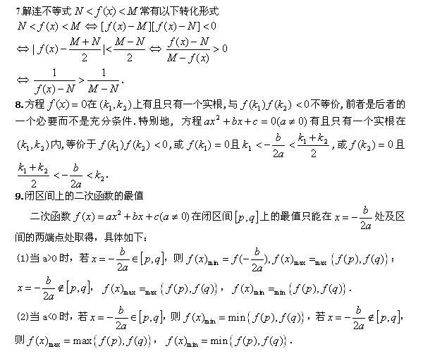
高考数学频道精心为大家提供高考数学知识点:不等式,更多高考资讯请关注我们网站的更新!
高考数学知识点:不等式

小编精心为您推荐:
高考数学公式推荐访问