出国留学网专题频道高考数学知识点分析栏目,提供与高考数学知识点分析相关的所有资讯,希望我们所做的能让您感到满意!
06-30
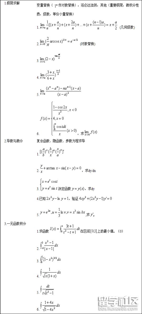
你还在为考试烦恼吗?你还在为如何提高分数苦恼吗?那就来出国留学网吧,小编为你整理了数学向量、偏导、全微分的知识要点哦,欢迎广大考生前来学习,希望你能轻松过考!
与高考数学知识点分析相关的成人高考数学
高考数学知识点分析推荐访问
搜索更多内容
高考数学知识点分析相关推荐
编辑推荐
热点推荐