出国留学网专题频道2015考研数学模拟试卷栏目,提供与2015考研数学模拟试卷相关的所有资讯,希望我们所做的能让您感到满意!
10-10
10-10
出国留学网考研数学频道为大家提供2015考研数学一模拟题试卷及答案(填空题),希望大家喜欢。
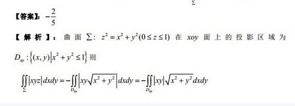
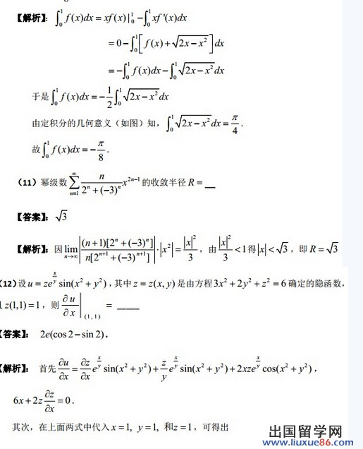
2015考研数学一模拟题试卷及答案(填空题)

填空题参考答案



推荐阅读:
2015考研数学10-10
08-01
准备考研的小伙伴们,你是不是正在找2015考研数学考前模拟试卷(一)的答案呢呢?出国留学网考研数学频道为大家提供2015考研数学考前模拟试卷(一)答案,希望大家好好练习,考出好成绩。
2015考研数学考前模拟试卷(一)答案








08-01
07-24
2015考研数学模拟试卷推荐访问