出国留学网专题频道高考数学模拟题栏目,提供与高考数学模拟题相关的所有资讯,希望我们所做的能让您感到满意!
01-12
出国留学网高考网为大家提供2018年高考数学模拟题及答案:集合的概念及运算B组,更多高考资讯请关注我们网站的更新!
2018年高考数学模拟题及答案:集合的概念及运算B组


答案:



小编精心为您推荐:
01-12
出国留学网高考网为大家提供2018年高考数学模拟题及答案:集合的概念及运算A组,更多高考资讯请关注我们网站的更新!
2018年高考数学模拟题及答案:集合的概念及运算A组



小编精心为您推荐:
出国留学高考网为大家提供高考数学:如何正确对待模拟考试与模拟题,更多高考资讯请关注我们网站的更新!
高考数学:如何正确对待模拟考试与模拟题
不但要会埋头拉车,还要会抬头看路 ” 对高考数学复习的一贯见解。高考是一场成王败寇的严酷竞争,公平的也是不公平的说高考公平是因为所有人都将面对同样的时间、知识、试卷;说高考不公平是因为对每个人来说信息并不对称 — 对高考分析透彻的人自然拥有更高的复习效率肯定会取得更出色的成果。
这里我强调的并不是高中的基础知识掌握水平而是复习的效率问题,谁的基础知识更牢固谁将取得更好的高考效果这是一个铁的事实,但它建立在所有人的复习效率都是相同的这个假设之下的所以大家经常可以看到有些
高考 考生学的呕心沥血却永远只是中游水平,而另一些高考生拥有大量的休闲活动却仍然能名列前茅。造成这种现象的原因很多人会归结为 “ 智商 ” 和 “ 运气 ” 也不否认这两方面的因素,但最主要的原因还是效率问题:两个高考生同样学了一个小时的数学,一个人领悟了一个高考非常容易考到重点内容,而另一个人啃下了一个非常难于理解的但是高考历来没有考过的难点内容,那么这样日积月累下来第一个人对高考真题考点的掌握就会远高于后者。这就是说的不但要会埋头拉车,还要会抬头看路 ” 意思,拉车 ” 就是指认真的复习,而 “ 看路 ” 则是指认清高考考查的重点,掌握住高考复习的方向。拉车 ” 基本上是每个高三学生都能够作到但是看路 ” 就不尽然了起早贪黑却劳而无功的高考生都是没有解决好复习方向的问题,没有看好 “ 路 ”。
现在这个阶段是高三文科刚开始复习而理科将近结课的阶段,属于高考复习的初期,这一阶段给大家的建议是:
第一:先看一下近三、五年的高考真题,并不要去做这些高考真题 ,而是要从中分析出那些是真正的高考考点,从而为整个一年的高考复习定下一个正确的基调。
无法分清考点的轻重是最常见的问题,比如高考中《函数》与《导数》两部分的关系就是一个非常容易使人混乱的地方。函数》高一的重点章节,学校会反复强调它重要性,说它高考中占多少多少比例等等,而《导数》则只是高三中的一个辅助章节尤其是文科,章节比重很小,学校强调的也不够。这就给大家一个错觉就是函数比导数重要,但是事实上在真正的高考中它两者的位置恰恰相反,函数的考查只有 3 至 4 道小题而且都位于试卷前几道题十分简单,其它问题虽然大量使用函数思想但是对同学们解题没有实质上的影响。反观导数它高考中直接占有一道大题特别是 07 年的文科试题,取代了数列》地位成为了倒数第二位的 14 分难题,同时只要遇到函数单调性 ” 极值 ” 最值 ” 值域相关问题 ” 切线问题 ” 等都要使用导数知识进行解决。当然函数的单调、极值等可以用《函数》知识处置但比起导数来说这是十分烦琐的所以说导数的地位要远比函数来的重要,这一问题往往是影响大家高考复习效率的一个关键问题,发现它并不需要 “ 智商 ” 和 “ 运气 ” 只要看一遍近几年高考真题即可,这就是第一条建议的重点所在
第二:分析自己的实力特征,果断对知识点进行取舍。
高考是选拔性的考试,并不要求我某个单科中考出满分,只要高考总成绩能够胜出就可以,所以我一定要根据自己的真实水平对整...
08-22
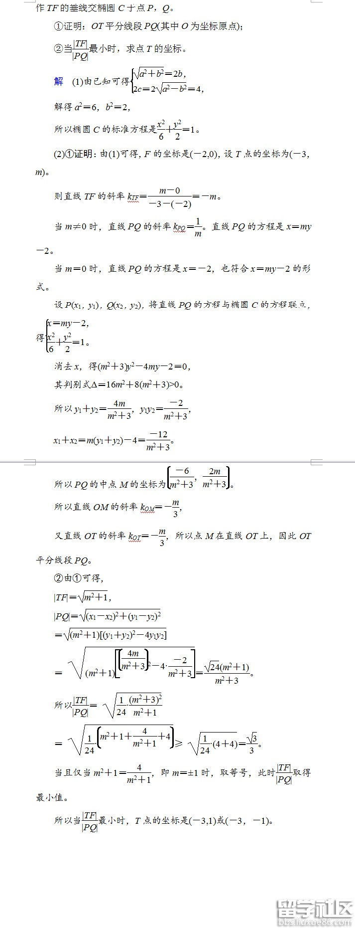
出国留学网高考网为大家提供高考数学模拟题及答案:平面解析几何,更多高考资讯请关注我们网站的更新!
高考数学模拟题及答案:平面解析几何




小编精心为您推荐:
08-22
出国留学网高考网为大家提供高考数学模拟题及答案:三角函数、解三角形,更多高考资讯请关注我们网站的更新!
高考数学模拟题及答案:三角函数、解三角形
1.(2015·湖北卷)某同学用“五点法”画函数
08-22
出国留学高考网为大家提供高考数学模拟题及答案:充分条件、必要条件与命题,更多高考资讯请关注我们网站的更新!
高考数学模拟题及答案:充分条件、必要条件与命题


小编精心为您推荐:
<...03-16
03-16
高考数学模拟题推荐访问