出国留学网专题频道中级会计师职称财务管理重点栏目,提供与中级会计师职称财务管理重点相关的所有资讯,希望我们所做的能让您感到满意!
08-21
2017年度全国中高级会计资格考试于2017年9月9日至10日举行。为指导广大考生复习应考,出国留学网为大家提供“2017年中级会计师职称财务管理重点:回收期”供广大考生参考,希望可以帮到广大考生,更多资讯请关注我们网站的更新。
2017年中级会计师职称财务管理重点:回收期
回收期,是指投资项目的未来现金净流量与原始投资额相等时所经历的时间,即原始投资额通过未来现金流量回收所需要的时间。
用回收期指标评价方案时,回收期越短越好。
(一)静态回收期
静态回收期没有考虑货币时间价值,直接用未来现金净流量累计到原始投资数额时所经历的时间作为回收期。
1.未来每年现金净流量相等时
这种情况是一种年金形式,因此:静态回收期=原始投资额/每年现金净流量
2.未来每年现金净流量不相等时
在这种情况下,应把每年的现金净流量逐年加总,根据累计现金流量来确定回收期。
(二)动态回收期
动态回收期需要将投资引起的未来现金净流量进行贴现,以未来现金净流量的现值等于原始投资额现值时所经历的时间为回收期。
1.未来每年现金净流量相等时
在这种年金形式下,假定经历几年所取得的未来现金净流量的现值的年金现值系数为(P/A,i,n),则:(P/A,i,n)=原始投资额现值/每年现金净流量
计算出年金现值系数后,通过査年金现值系数表,利用插值法,即可推算出动态回收期n。
2.未来每年现金净流量不相等时
在这种情况下,应把未来每年的现金净流量逐一贴现并加总,根据累计现金流量现值来确定回收期。
回收期法的优点是计算简便,易于理解。这种方法是以回收期的长短来衡量方案的优劣,投资的时间越短,所冒的风险就小些。可见,回收期法是一种较为保守或稳妥的方法。
回收期法中静态回收期的不足之处是没有考虑货币的时间价值。
静态回收期和动态回收期还有一个共同局限,就是它们计算回收期时只考虑了未来现金净流量小于和等于原始投资额的部分,没有考虑超过原始投资额的部分。显然,回收期长的项目,其超过原始投资额的现金流量并不一定比回收期短的项目少。
中级会计职称考试栏目为你推荐:
08-21
2017年度全国中高级会计资格考试于2017年9月9日至10日举行。为指导广大考生复习应考,出国留学网为大家提供“2017年中级会计师职称财务管理重点:现值指数”供广大考生参考,希望可以帮到广大考生,更多资讯请关注我们网站的更新。
2017年中级会计师职称财务管理重点:现值指数
现值指数是投资项目的未来现金净流量现值与原始投资额现值之比。计算式为:
现值指数=未来现金净流量现值/原始投资额现值
若现值指数大于1或等于1,方案可行,说明方案实施后的投资报酬率高于或等于必要报酬率;若现值指数小于1,方案不可行,说明方案实施后的投资报酬率低于必要报酬率。现值指数越大,方案越好。
现值指数是未来现金净流量现值与所需投资额现值之比,是一个相对数指标,反映了投资效率,所以,用现值指数指标来评价独立投资方案,可以克服净现值指标的不便于对不同的独立投资方案进行比较和评价的缺点,从而使对方案的分析评价更加合理、客观。
中级会计职称考试栏目为你推荐:
08-21
2017年度全国中高级会计资格考试于2017年9月9日至10日举行。为指导广大考生复习应考,出国留学网为大家提供“2017年中级会计师职称财务管理重点:内含报酬率”供广大考生参考,希望可以帮到广大考生,更多资讯请关注我们网站的更新。
2017年中级会计师职称财务管理重点:内含报酬率
(一)基本原理
内含报酬率,是指对投资方案的未来每年现金净流量进行贴现,使所得的现值恰好与原始投资额现值相等,从而使净现值等于零时的贴现率。
内含报酬率法的基本原理是:在计算方案的净现值时,以必要投资报酬率作为贴现率计算,净现值的结果往往是大于零或小于零,这就说明方案的实际可能达到的投资报酬率大于或小于必要投资报酬率;而当净现值为零时,说明两种报酬率相等。根据这个原理,内含报酬率法就是要计算出使净现值等于零时的贴现率,这个贴现率就是投资方案的实际可能达到的投资报酬率。
1.每年现金净流量相等时
每年现金净流量相等是一种普通年金形式,通过査年金现值系数表,可计算出未来现金净流量现值,并令其净现值为零,则有:每年现金净流量×年金现值系数-投资额现值=0。
计算出净现值为零时的年金现值系数后,通过査年金现值系数表,利用插值法,即可求得方案的内含报酬率。
2.每年现金净流量不相等时
如果投资方案未来的每年现金流量不相等,各年现金流量的分布就不是年金形式,不能采用直接査年金现值系数表的方法来计算内含报酬率,而需采用逐次测试法。
(二)对内含报酬率法的评价
内含报酬率法的主要优点在于:
1.内含报酬率反映了投资项目可能达到的报酬率,易于被高层决策人员所理解。
2.对于独立投资方案的比较决策,如果各方案原始投资额不同,可以通过计算各方案的内含报酬率,反映各独立投资方案的获利水平。
内含报酬率法的主要缺点在于:
1.计算复杂,不易直接考虑投资风险大小。
2.在互斥投资方案决策时,如果各方案的原始投资额现值不相等,有时无法作出正确的决策。某一方案原始投资额低,净现值小,但内含报酬率可能较高;而另一方案原始投资额高,净现值大,但内含报酬率可能较低。
中级会计职称考试栏目为你推荐:
08-14
2017年度全国中高级会计资格考试于2017年9月9日至10日举行。为指导广大考生复习应考,出国留学网为大家提供“2017年中级会计师职称财务管理重点归纳二”供广大考生参考,希望可以帮到广大考生,更多资讯请关注我们网站的更新。
2017年中级会计师职称财务管理重点归纳二
第一章 货币资金和应收款项
l 大纲要求:
本章讲述货币资金的会计处理规则;应收账款核算的总价法;应收票据、预付账款、其他应收款的会计处理规则。重点是现金管理、应收款项坏账损失的“备抵法”。
l 主要内容包括:
1.掌握库存现金的管理制度和现金盘盈盘亏的处理;
2.了解银行存款的清查;
3.了解其他货币资金的核算内容;
4.熟悉应收账款的核算;
5.熟悉应收票据的核算
6.熟悉预付账款的核算;
7.熟悉其他应收款的核算内容;
8.掌握坏账损失的“备抵法”。
二、银行存款(★)
银行存款是企业存放于银行或其他金融机构的货币资金。
1.通过与开户银行转来的对账单进行核对。
银行存款日记账的账面余额应定期与开户银行转来的“银行对账单”的余额核对相符,至少每月核对一次。单位银行存款账面余额与银行对账单余额之间如有差额,应通过编制“银行存款余额调节表”调节相符。
2.企业银行存款账面余额与银行对账单余额之间不一致的原因除记账错误外,还因为存在未达账项。
发生未达账项的具体情况有四种:
(1)企业已收款入账,银行尚未收款入账;
(2)企业已付款入账,银行尚未付款入账;
(3)银行已收款入账,企业尚未收款入账;
(4)银行已付款入账,企业尚未付款入账。
【注意】企业或银行的会计核算差错不属于未达账项。
3.如没有记账错误,调节后的双方余额应相等。如果调节后的银行存款余额仍不相符,则应进一步逐笔核对,发现错账、漏账立即予以纠正。
4.银行存款余额调节表只是为了核对账目,并不能作为调整银行存款账面余额的记账依据。(银行存款余额调节表不是原始凭证,待有关结算凭证到达后入账)
5.经“银行存款余额调节表”调节后的金额就是企业实际可动用的银行存款金额(列示在资产负债表上)。(不能调账,可以调表)
【注意】
企业调节后银行存款金额=企业银行存款日记账余额+银行已收款入账、企业尚未收款入账的账款-银行已付款入账、企业尚未付款入账的账款
银行调节后银行存款金额=银行对账单余额+企业已收款入账、银行尚未收款入账的账款-企业已付款入账、银行尚未付款入账的账款
【例1-1】甲公司2×13年12月31日银行存款日记账的余额为5 400 000元,银行转来对账单的余额为8 300 000元。经逐笔核对,发现以下未达账项:
(1)企业送存转账支票6 000 000元,并已登记银行存款增加,但银行尚未记账。
(2)企业开出转账支票4 500 000元,但持票单位尚未到银行办理转账,银行尚未记账。
...
08-14
2017年度全国中高级会计资格考试于2017年9月9日至10日举行。为指导广大考生复习应考,出国留学网为大家提供“2017年中级会计师职称财务管理重点归纳一”供广大考生参考,希望可以帮到广大考生,更多资讯请关注我们网站的更新。
2017年中级会计师职称财务管理重点归纳一
第一章 货币资金和应收款项
l 大纲要求:
本章讲述货币资金的会计处理规则;应收账款核算的总价法;应收票据、预付账款、其他应收款的会计处理规则。重点是现金管理、应收款项坏账损失的“备抵法”。
l 主要内容包括:
1.掌握库存现金的管理制度和现金盘盈盘亏的处理;
2.了解银行存款的清查;
3.了解其他货币资金的核算内容;
4.熟悉应收账款的核算;
5.熟悉应收票据的核算
6.熟悉预付账款的核算;
7.熟悉其他应收款的核算内容;
8.掌握坏账损失的“备抵法”。
一、库存现金(★★★)
货币资金是指企业生产经营过程中处于货币形态的资产,包括库存现金、银行存款和其他货币资金。
库存现金是指存放于企业财会部门由出纳人员经管的货币。
(一)现金使用范围
1.职工工资、津贴;
2.个人的劳务报酬;
3.根据国家规定颁发给个人的科学技术、文化艺术、体育等各种奖金;
4.各种劳保、福利费用以及国家规定的对个人的其他现金支出;
5.向个人收购农副产品和其他物资的价款;
6.出差人员必须随身携带的差旅费;
7.结算起点(1 000元,含1 000元)以下的零星支出。
凡不属于国家现金结算范围的支出,一律不准使用现金结算,而必须通过银行办理转账结算。
(二)现金收支的规定
1.企业现金收入应于当日送存银行,当日送存有困难,由开户银行确定送存时间。
2.企业支付库存现金,可以从企业库存现金限额中支付或从开户银行中提取,不得从本企业的现金收入中直接支付(即坐支现金);因特殊情况需要坐支现金的,应事先提出限额和用途,报请开户银行核定,并在事后将坐支情况通知银行。
3.5不准
(1)不准用不符合财务制度的凭证顶替库存现金,即不得“白条顶库”;
(2)不准谎报用途套取现金;
(3)不准用银行账户代其他单位和个人存入或支取现金,即不得出租银行账户;
(4)不准用单位收入的现金以个人名义存入储蓄,即不得“公款私存”;
(5)不得保留账外公款,即不得设置“小金库”。
(三)钱账分管制度
企业应配备专职的出纳员,办理库存现金收付和结算业务、登记库存现金和银行存款日记账、保管库存现金和各种有价证券、保管好有关印章、空白收据和空白支票。
出纳员不得兼管稽核、会计档案保管和收入、费用、债权、债务账目的登记工作。
出纳员不得登记现金和银行存款总账。
(四)现金保管制度
1.超过库存限额以外的库存现金应在...
08-12
2017年度全国中高级会计资格考试于2017年9月9日至10日举行。为指导广大考生复习应考,出国留学网为大家提供“2017年中级会计师职称财务管理重点:项目现金流量”供广大考生参考,希望可以帮到广大考生,更多资讯请关注我们网站的更新。
2017年中级会计师职称财务管理重点:项目现金流量
(一)投资期
①在长期资产上的投资②垫支的营运资金
(二)营业期
税后付现成本 | 税后付现成本=付现成本×(1-税率) | |
08-12
2017年度全国中高级会计资格考试于2017年9月9日至10日举行。为指导广大考生复习应考,出国留学网为大家提供“2017年中级会计师职称财务管理重点:资本结构优化”供广大考生参考,希望可以帮到广大考生,更多资讯请关注我们网站的更新。
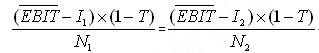
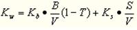
2017年中级会计师职称财务管理重点:资本结构优化
资本结构优化
1.每股收益分析法=

结论:
如果预期的息税前利润大于每股收益无差别点的息税前利润,则运用负债筹资方式;
如果预期的息税前利润小于每股收益无差别点的息税前利润,则运用权益筹资方式。
2.公司价值分析法
(1)企业价值计算
(2)加权平均资本成本的计算
中级会计职称考试栏目为你推荐:
08-11
2017年度全国中高级会计资格考试于2017年9月9日至10日举行。为指导广大考生复习应考,出国留学网为大家提供“2017年中级会计师职称财务管理重点:融资租赁”供广大考生参考,希望可以帮到广大考生,更多资讯请关注我们网站的更新。
2017年中级会计师职称财务管理重点:融资租赁
(一)融资租赁的基本形式
形式 | 含义及特点 |
中级会计师职称财务管理重点推荐访问