出国留学网专题频道国考行测资料分析试题栏目,提供与国考行测资料分析试题相关的所有资讯,希望我们所做的能让您感到满意!
11-14
国考即将举行,行测考试是其重要组成部分,而资料分析又是行测考试中难点,大家需要多花功夫备考呀,本网站今天带来了2019国考行测资料分析专项练习试题15,考生们做一做哦,希望大家能尽快地提升自己。
2019国考行测资料分析专项练习试题15
1.
2007年农产品价格增长最快的是( )月。
A.10
B.9
C.8
D.7
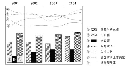
根据下图,完成各题。
下图给出了某国在2001-2004年间的国民生产总值、进出口额、平均收入、失业人数、部分时间工作岗位及通货膨胀率的发展情况。

2.1.
在此期间相对稳定的数值是( )。
A.进出口额
B.失业人数、部分时间工作岗位
C.通货膨胀率
D.国民生产总值和平均收入
2.2.
与出口额数目联系起来看,部分时间的工作岗位( )。
A.随着出口额而下降,在出口的增长前仍继续下降
B.随着出口额而增长,在出口的增长前又有明显的再增长
C.随着出口额而下降,在出口的增长前又重新有明显的增长
D.随着出口额而增长,在出口的增长前有明显的下降
我国第五次人口普查显示我国人口年龄结构发生了较大变化。祖国大陆31个省、自治区、直辖市和现役军人的人口中,0—14岁的人口为28979万人,约占总人口的22.89%;15—64岁的人口为88793万人,约占总人口的70.15%;65岁及以上的人口为8811万人,约占总人口的6.96%。同1990年的第四次人口普查相比,0—14岁人口的比重下降了约4.80%,65岁及以上人口的比重上升了约1.39%。
3.1.
第五次人口普查显示我国65岁及以上的人口占总人口的百分比大约是( )。
A.22.89%
B.5.57%
C.6.96%
D.8.62%
3.2.
第五次人口普查显示我国15岁及以上的人口占总人口的百分比大约是( )。
A.70.15%
B.75.72%
C.76.11%
D.77.11%
3.3.
第四次人口普查显示我国65岁及以上人口所占的比重大约是( )。
A.5.30%
B.5.57%
C.6.96%
D.8.35%
Z市对全市房地产企业经营状况进行调查,全市共有43.71万平方米的商品房建成后未能出售或出租,空置率为12.33%,其中商品住宅空置量为15.27万平方米,空置率为7.06%;商业营业用房17.02万平方米,空置...
11-14
需要做国考行测试题吗,本网站今天收集整理了2019国考行测资料分析专项练习试题14,希望大家在做试题的同时,不断回顾学过的知识点,找到自己的不足,尽早补上,以最好的状态迎接考试。
2019国考行测资料分析专项练习试题14
1.
2007年农产品价格增长最快的是( )月。
A.10
B.9
C.8
D.7
根据下图,完成各题。
下图给出了某国在2001-2004年间的国民生产总值、进出口额、平均收入、失业人数、部分时间工作岗位及通货膨胀率的发展情况。

2.1.
在此期间相对稳定的数值是( )。
A.进出口额
B.失业人数、部分时间工作岗位
C.通货膨胀率
D.国民生产总值和平均收入
2.2.
与出口额数目联系起来看,部分时间的工作岗位( )。
A.随着出口额而下降,在出口的增长前仍继续下降
B.随着出口额而增长,在出口的增长前又有明显的再增长
C.随着出口额而下降,在出口的增长前又重新有明显的增长
D.随着出口额而增长,在出口的增长前有明显的下降
我国第五次人口普查显示我国人口年龄结构发生了较大变化。祖国大陆31个省、自治区、直辖市和现役军人的人口中,0—14岁的人口为28979万人,约占总人口的22.89%;15—64岁的人口为88793万人,约占总人口的70.15%;65岁及以上的人口为8811万人,约占总人口的6.96%。同1990年的第四次人口普查相比,0—14岁人口的比重下降了约4.80%,65岁及以上人口的比重上升了约1.39%。
3.1.
第五次人口普查显示我国65岁及以上的人口占总人口的百分比大约是( )。
A.22.89%
B.5.57%
C.6.96%
D.8.62%
3.2.
第五次人口普查显示我国15岁及以上的人口占总人口的百分比大约是( )。
A.70.15%
B.75.72%
C.76.11%
D.77.11%
3.3.
第四次人口普查显示我国65岁及以上人口所占的比重大约是( )。
A.5.30%
B.5.57%
C.6.96%
D.8.35%
Z市对全市房地产企业经营状况进行调查,全市共有43.71万平方米的商品房建成后未能出售或出租,空置率为12.33%,其中商品住宅空置量为15.27万平方米,空置率为7.06%;商业营业用房17.02万平方米,空置率为32.34%...
11-14
资料分析是行测考试中必不可少的考生题型,大家需要认真对待啊,本网站今天收集整理了2019国考行测资料分析专项练习试题13,朋友们不妨试着做一做,看看自己复习得怎么样了。
2019国考行测资料分析专项练习试题13
1.
2007年农产品价格增长最快的是( )月。
A.10
B.9
C.8
D.7

2.1.
2008 年该市高校学生在校人数最多的是哪个专业?( )
A.经济学
B.教育学
C.文学
D.工学
2.2.
2007 年的毕业生中,文学专业所占的比例大概是多少?( )
A.10%
B.12%
C.15%
D.18%
2.3.
下列说法正确的是哪一项?( )
A.与2007 年相比,2008 年各专业毕业人数都有不同程度的上升
B.2007 年在校人数较多的三个专业占当年总在校人数大半
C.与2007 年相比,2008 年理学专业毕业生的增长率比法学的高
D.与2007 年相比,2008 年文学专业在校人数的增长率比管理学的高
2.4.
2008 年与2007 年相比,在校生增长率超过25%的专业有( )个。
A.3
B.4
C.5
D.6
2.5.
与2007 年相比,2008 年毕业人数增长率最高的是哪个专业?( )
A.经济学
B.管理学
C.教育学
D.历史学
根据所给的资料,完成各题。
2010年,我国黄金产量340.88吨,同比增长8.57%。其中矿产金280.04吨,同比增长7.27%;有色副产业60.84吨,同比增长14.95%。
2010年,我国黄金企业实现工业总产值2292.88亿元,同比增长66.72%;实现利润248.74亿元,同比增78.19%。

3.1.
2010年,我国矿金产量占黄金产量的比重约为( )。
A.80%
B.82%
C.84%
D.86%
3.2.
...11-14
想在行测中资料分析这类题目上得高分,除了掌握一定的知识点和技巧外,就是多做试题了,本网站今天收集整理了2019国考行测资料分析专项练习试题12,想做更多试题检测自己吗,常关注本网吧。
2019国考行测资料分析专项练习试题12
1.
>2007>年农产品价格增长最快的是( )月。
A.10
B.9
C.8
D.7
根据下列图表回答以下几题。

2.1.
2006年,我国境内500家最大外商投资企业主营业务收入占全部在华外商投资企业主营业务收入的比重为( )。
A.60.3%
B.56.4%
C.43.2%
D.37.6%
2.2.
2006年,我国境内500家最大外商投资企业就业人数比上年( )。
A.减少了283.9万人
B.减少了162万人
C.增加了33.5万人
D.增加了23.8万人
2.3.
2005年,我国境内500家最大外商投资企业的利润额与其他外商投资企业利润额的比例为( )。
A.77.5︰100
B.71.8︰100
C.67.1︰100
D.60.9︰100
2.4.
2004-2006年,我国境内500家最大外商投资企业总资产规模分别比上年增长( )。
A.17.1%,9.5%
B.6.7%,12.9%
C.19.3%,12.9%
D.60.3%,60.3%
2.5.
从表中数据可看出,2004-2006年,我国境内500家最大外商投资企业( )。
A.总资产规模逐年上升
B.就业人数增长率逐年上升
C.主营业务收入逐年下降
D.利润额逐年上升
统计文字资料:根据下面的文字资料,回答它后面的5道题目。
2009年江西省全年自产地表水资源量1133.4亿立方米,比上年减少15.1%。人均拥有水资源量2557立方米,减少17.0%。平均降水量1391.2毫米,减少9.4%。年末25座大型水库蓄水总量68.9亿立方米。全年总用水量238.3亿立方米,增长1.7%。人均用水量为538立方米,增长1.1%。
年末共有县级以上环境监测站107个。对环境空气质量进行监测的11个设区市城区环境空气质量全部达到二级(达标)。南昌市和九江市城市环境空气质量优良天数分别为347天和363天。城镇地表水集中式饮用水源地水质达标率100%。
年末已建有自然保护区172个,其中国家级自然保...
11-14
国考行测中资料分析你有做试题吗,学科复习少不了试题的练习哦,今天本网收集整理了2019国考行测资料分析专项练习试题11,考生们可以拿去做一做,看看自己学习得怎么样了,还有哪些不够的地方,赶紧弥补上呀。
2019国考行测资料分析专项练习试题11

推荐阅读:
...国考行测资料分析试题推荐访问