出国留学网专题频道考研数学三答案栏目,提供与考研数学三答案相关的所有资讯,希望我们所做的能让您感到满意!
12-23
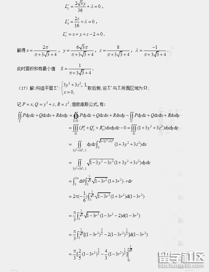
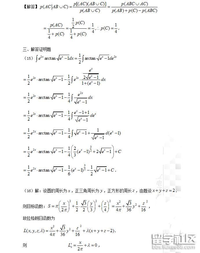
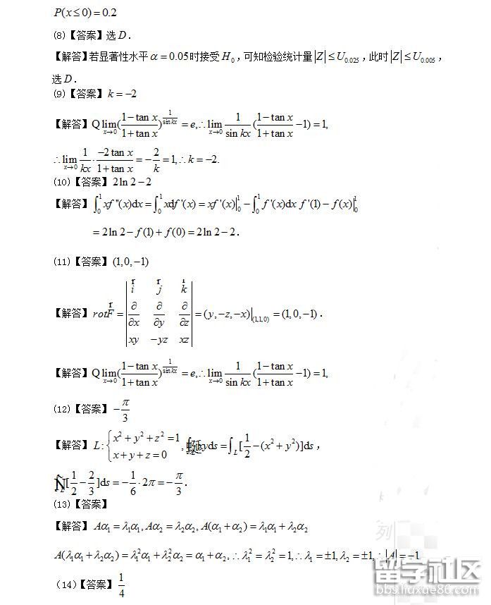
出国留学考研网为大家提供2018考研数学三真题及答案(图片版),更多考研资讯请关注我们网站的更新!
2018考研数学三真题及答案(图片版)



出国留学考研网为大家提供2018年考研数学真题及答案解析汇总,更多考研资讯请关注我们网站的更新!
| 2018年考研数学真题及答案解析汇总 | |
| 1 | 2018考研数学一真题及答案解析汇总 |
| 2 | 2018考研数学二真题及答案解析汇总 |
| 3 | |
考研数学三答案推荐访问