出国留学网专题频道证券从业金融市场复习资料栏目,提供与证券从业金融市场复习资料相关的所有资讯,希望我们所做的能让您感到满意!
03-14
本文“2017证券从业金融市场复习资料:证券交易所”,由出国留学网证券从业考试频道为您整理,希望对您能有帮助。想了解更多关于证券从业考试的讯息,请继续关注我们网站的更新。
证券交易所
1.证券交易所的定义
证券交易所是证券买卖双方公开交易的场所,是一个高度组织化、集中进行证券交易的市场,是整个证券市场的核心。《中华人民共和国证券法》规定,证券交易所是为证券集中交易提供场所和设施,组织和监督证券交易,实行自律管理的法人。
2.证券交易所的特征
证券交易所的特征如下:
(1)有固定的交易场所和交易时间。
(2)参加交易者为具备会员资格的证券经营机构,交易采取经纪制。
(3)交易的对象限于合乎一定标准的上市证券。
(4)通过公开竞价的方式决定交易价格。
(5)集中了证券的供求双方,具有较高的成交速度和成交率。
(6)实行“公开、公平、公正”原则,并对证券交易加以严格管理。
3.证券交易所的职能
我国《证券交易所管理办法》第十一条规定,证券交易所的职能包括:
(1)提供证券交易的场所和设施。
(2)制定证券交易所的业务规则。
(3)接受上市申请、安排证券上市。
(4)组织、监督证券交易。
(5)对会员进行监管。
(6)对上市公司进行监管。
(7)设立证券登记结算机构。
(8)管理和公布市场信息。
(9)中国证监会许可的其他职能。
4.证券交易所的组织形式
证券交易所的组织形式大致可以分为两类,即公司制和会员制。
(1)公司制的证券交易所是以股份有限公司形式组织并以营利为目的的法人团体,一般由金融机构及各类民营公司组建。
(2)会员制的证券交易所是一个由会员自愿组成的、不以营利为目的的社会法人团体。交易所设会员大会、理事会和监察委员会。
证券从业资格考试频道编辑推荐:
证券从业资格考试报名须知02-28
想报考证券从业资格考试的朋友们,要加强对知识点的记忆哦!出国留学网证券从业考试频道为您整理“2017年证券从业金融市场复习资料:结构化金融衍生产品”,希望考生们能多多关注证券行业资讯!
结构化金融衍生产品
(一)结构化金融衍生产品的定义
结构化金融衍生产品是运用金融工程结构化方法,将若干种基础金融商品和金融衍生产品相结合设计出的新型金融产品。目前最为流行的结构化金融衍生产品主要是由商业银行开发的各类结构化理财产品以及在交易所市场上市交易的各类结构化票据,它们通常与某种金融价格相联系,其投资收益随该价格的变化而变化。
目前,我国内地尚无交易所交易的结构化产品,但是,很多商业银行均通过柜台销售各类“挂钩理财产品”。这些理财产品的预期收益与某种利率、汇率或者黄金、股票、能源价格相联系,通过事先约定的计算公式进行计算。
(二)结构化全融衍生产品的类别
(1)按联结的基础产品分类,可分为股权联结型产品(其收益与单只股票、股票组合或股票价格指数相联系)、利率联结型产品、汇率联结型产品、商品联结型产品等种类。
(2)按收益保障性分类,可分为收益保证型产品和非收益保证型产品两大类,其中,前者又可进一步细分为保本型产品和保证最低收益型产品。
(3)按发行方式分类,可分为公开募集的结构化产品与私募结构化产品,其中,前者通常可以在交易所交易。
(4)按照嵌入式衍生产品的属性不同,可以分为基于互换的结构化产品、基于期权的结构化产品等类别。
当然,还可以按照币种、期限、发行地等进行分类。
证券从业资格考试频道编辑推荐:02-10
本文“证券从业2017金融市场复习资料:债券登记”,跟着出国留学网证券从业考试网来了解一下吧。欢迎您阅读。
债券登记、托管、兑付及付息的有关规定
(1)债券登记。债券登记是指本公司在证券账户中记录债券持有人持有债券余额和余额变化情况的行为;如通过名义持有人持有证券的,债券登记是指本公司对名义持有人名下债券余额和余额变化情况的进行记录的行为。
(2)债券托管。中华人民共和国境内的商业银行及授权分行、信托投资公司、企业集团财务公司、金融租赁公司、农村信用社、城市信用社、证券公司、基金管理公司及其管理的各类基金、保险公司、外资金融机构以及经金融监管当局批准可投资于债券资产的其他金融机构(下称投资人)均可在中央国债登记结算有限责任公司(简称“中央结算公司”)按实名制原则以自己名义开立债券托管账户。债券托管量等于已经发行但尚未到期的债券总量。
(3)债券兑付和付息。债券兑付是偿还本金,债券付息是支付利息。一般情况下,债券有五种兑付方式:到期兑付、提前兑付、债券替换、分期兑付和转换为普通股兑付。债券利息的支付方式主要有三种:息票方式(又称“减息票方式”)、折扣利息、本息合一方式。
证券从业资格考试频道编辑推荐:
02-09
本文“2017证券从业金融市场复习资料:债券的交易”,跟着出国留学网证券从业考试网来了解一下吧。欢迎您阅读。
第四章 债券市场
第三节 债券的交易
一、债券现券交易、回购交易、远期交易和期货交易的基本概念
(1)现券交易。所谓现券交易,是指证券买卖双方在成交后就办理交收手续,买入者付出资金并得到证券,卖出者交付证券并得到资金。
(2)回购交易。债券回购交易就是指债券买卖双方在成交的同时,约定于未来某一时间以某一价格双方再进行反向交易的行为。
(3)远期交易。远期交易是双方约定在未来某一时刻(或时间段内)按照现在确定的价格进行交易。
(4)期货交易。期货交易是在交易所进行的标准化的远期交易,即交易双方在集中性的市场以公开竞价方式所进行的期货合约的交易。
二、债券现券交易、回购交易、远期交易和期货交易的流程和区别
理论上说,回购交易是质押贷款的一种方式,通常用在政府债券上。债券经纪人向投资者临时出售一定的债券,同时签约在一定的时间内以稍高价格买回来,债券经纪人从中取得资金再用来投资,而投资者从价格差中得利。回购交易长的有几个月,但通常情况下只有24小时,是一种超短期的金融工具,具有短期融资的属性。从运作方式看,它结合了现货交易和远期交易的特点,通常在债券交易中运用。
现券交易是一个现券的买卖,是指交易双方以约定的价格在当日或次日转让债券所有权的交易行为。实际上它就是一个债券的买卖行为。
与现券交易相比,远期合同交易的特点主要表现在以下几个方面:
(1)远期合同交易买卖双方必须签订远期合同,而现券交易则无此必要。
(2)远期合同交易买卖双方进行商品交收或交割的时间与达成交易的时间,通常有较长的间隔,相差的时间达几个月是经常的事情,有时甚至达一年或一年以上。而现券交易通常是现买现卖,即时交收或交割,即便有一定的时间间隔,也比较短。
(3)远期合同交易往往要通过正式的磋商、谈判,双方达成一致意见签订合同之后才算成立,而现券交易则随机性较大,方便灵活,没有严格的交易程序。
(4)远期合同交易通常要求在规定的场所进行,双方交易要受到第三方的监控,以便使交易处于公开、公平、公正的状况,因而能有效地防止不正当行为,以维护市场交易秩序;而现券交易不受过多的限制,因此也易产生一些非法行为。
远期交易和期货交易的区别主要表现在以下几个方面:
(1)交易对象不同。(2)功能作用不同。(3)履约方式不同。(4)信用风险不同。(5)保证金制度不同。
证券从业资格考试频道编辑推荐:
02-08
本文“2017证券从业金融市场复习资料:基金资产估值”,跟着出国留学网证券从业考试网来了解一下吧。欢迎您阅读。
基金资产估值
基金资产估值是通过对基金所拥有的全部资产及所有负债按一定的原则和方法进行估算,进而确定基金资产公允价值的过程。
按照我国《企业会计准则》和中国证监会相关规定,估值的基本原则如下:
(1)对存在活跃市场的投资品种,如估值日有市价的,应采用市价确定公允价值。估值日无市价的,但最近交易日后经济环境未发生重大变化,应采用最近交易市价确定公允价值;估值日无市价的,且最近交易日后经济环境发生了重大变化的,应参考类似投资品种的现行市价及重大变化因素,调整最近交易市价,确定公允价值。
(2)对不存在活跃市场的投资品种,应采用市场参与者普遍认同且被以往市场实际交易价格验证具有可靠性的估值技术确定公允价值。
(3)有充足理由表明按以上估值原则仍不能客观反映相关投资品种的公允价值的,基金管理公司应根据具体情况与托管银行进行商定,按最能恰当反映公允价值的价格估值。
证券从业资格考试频道编辑推荐:
证券从业机考命题相关问题解答 ...02-06
出国留学网证券从业考试网为你带来“证券从业2017金融市场复习资料:货币政策”,大家要抓紧时间复习,希望此文能帮助到大家!
货币政策
(一)货币政策概念
货币政策是指政府或中央银行为影响经济活动所采取的措施,尤指控制货币供给以及调控利率的各项措施。货币政策是政府重要的宏观经济政策,中央银行通常采用存款准备金制度、再贴现政策、公开市场业务等货币政策手段调控货币供应量,从而实现发展经济、稳定货币等政策目标。
(二)货币政策措施
运用货币政策所采取的措施主要包括:
(1)控制货币发行。(2)控制和调节对政府的贷款。(3)推行公开市场业务。(4)改变存款准备金率。(5)调整再贴现率。(6)选择性信用管制。(7)直接信用管制。(8)常备借贷便利。
(三)货币政策目标
1.货币政策的最终目标
(1)稳定物价。稳定物价是中央银行货币政策的首要目标,而物价稳定的实质是币值的稳定。所谓币值,原指单位货币的含金量。在现代信用货币流通条件下,衡量物价稳定与否,从各国的情况看,通常使用的指标有三个:一是GNP(国民生产总值)平均指数,它以构成国民生产总值的最终产品和劳务为对象,反映最终产品和劳务的价格变化情况;二是消费物价指数,它以消费者日常生活支出为对象,能较准确地反映消费物价水平的变化情况;三是批发物价指数,它以批发交易为对象,能较准确地反映大宗批发交易的物价变动情况。需要注意的是,除了通货膨胀以外,还有一些属于正常范围内的因素,如季节性因素、消费者嗜好的改变、经济与工业结构的改变等等,也会引起物价的变化。
一般来说,物价上涨率宜控制在50A以下,以2%~3%为宜。
(2)充分就业。所谓充分就业目标,就是要保持一个较高的、稳定的就业水平。在充分就业的情况下,凡是有能力并自愿参加工作者,都能在较合理的条件下随时找到适当的工作。
一般以失业率指标来衡量劳动力的就业程度。所谓失业率,指社会的失业人数与愿意就业的劳动力之比。失业率的大小,也就代表了社会的充分就业程度。造成失业的原因主要有总需求不足、摩擦性失业、季节性的失业、结构性失业。
一般来说,中央银行把充分就业目标定位于失业率不超过4%为宜。
(3)促进经济增长。所谓经济增长就是指国民生产总值的增长必须保持合理的、较高的速度。目前各国衡量经济增长的指标一般采用人均实际国民生产总值的年增长率,即用人均名义国民生产总值年增长率剔除物价上涨率后的人均实际国民生产总值年增长率来衡量。政府一般对计划期的实际GNP增长幅度定出指标,用百分比表示,中央银行即以此作为货币政策的目标。
中央银行以经济增长为目标,指的是中央银行在接受既定目标的前提下,通过其所能操纵的工具对资源的运用加以组合和协调。一般地说,中央银行可以用增加货币供给或降低实际利率水平的办法来促进投资增加;或者通过控制通货膨胀率,以消除其所产生的不确定性和预期效应对投资的影响。
(4)平衡国际收支。所谓平衡国际收支目标,简言之,就是采取各种措施纠正国际收支差额,使其趋于平衡。因为一国国际收支出现失衡,无论是顺差或逆差,都会对本国经济造成不利影响。当然,相比之下,逆差的危害尤甚,因此各国调节国际收支失衡一般着力于减少以...
02-06
出国留学网证券从业考试网为你带来“2017年证券从业金融市场复习资料:货币乘数”,大家要抓紧时间复习,希望此文能帮助到大家!
货币乘数
(一)货币乘数的基本概念
货币乘数是指货币供给量对基础货币的倍数关系,简单地说,货币乘数是一单位准备金所产生的货币量。货币乘数的大小决定了货币供给扩张能力的大小。在货币供给过程中,中央银行的初始货币提供量与社会货币最终形成量之间存在着数倍扩张(或收缩)的效果,即所谓的乘数效应。货币乘数主要由通货—存款比率和准备金—存款比率决定。通货—存款比率是流通中的现金与商业银行活期存款的比率。它的变化反向作用于货币供给量的变动,通货—存款比率越高,货币乘数越小;通货—存款比率越低,货币乘数越大。准备金—存款比率是商业银行持有的总准备金与存款之比,准备金—存款比率也与货币乘数有反方向变动的关系。
(二)货币乘数的计算公式
完整的货币(政策)乘数的计算公式是:
m=(Rc+i)/(Rd+Re十Rc)
其中,Rd、Re、Rc分别代表法定准备金率、超额准备金率和现金在存款中的比率。
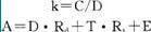
货币(政策)乘数的基本计算公式是:


其中,M1为货币供应量、B为基础货币;k为现金比率、Rt为定期存款准备率、T为定期存款、E为超额准备金、D为活期存款、C为流通中的现金;A为商业银行的存款准备金总额。
(三)货币乘数的决定因素
银行提供的货币和贷款会通过数次存款、贷款等活动产生出数倍于它的存款,即通常所说的派生存款。货币乘数的大小决定了货币供给扩张能力的大小。而货币乘数的大小又由以下
四个因素决定:
(1)法定准备金率(Rd)。定期存款与活期存款的法定准备金率均由中央银行直接决定。通常,法定准备金率越高,货币乘数越小;反之,货币乘数越大。
(2)超额准备金率(Re)。商业银行保有的超过法定准备金的准备金与存款总额之比,称为超额准备金率。超额准备金的存在相应减少了银行创造派生存款的能力,因此,超额准备金率与货币乘数之间呈反方向变动关系,超额准备金率越高,货币乘数越小;反之,货币乘数就越大。
(3)现金比率(k)。现金比率是指流通中的现金与商业银行活期存款的比率。现金比率的高低与货币需求的大小正相关。因此,凡影响货币需求的因素,都可以影响现金比率。与此相反,现金比率与货币乘数负相关,现金比率越高,说明现金退出存款货币的扩张过程而流入日常流通的量越多,因而直接减少了银行的可贷资金量,制约了存款派生能力,货币乘数就越小。(4)定期存款与活期存款间的比率。一般来说,在其他因素不变的情况下,定期存款对活期存款比率上升,货币乘数就会变大;反之,货币乘数会变小。
影响我国货币乘数的因素除了上述四个...
证券从业金融市场复习资料推荐访问