出国留学网专题频道全国卷3栏目,提供与全国卷3相关的所有资讯,希望我们所做的能让您感到满意!
06-10
迎难而上是我不屈的信念,高考胜利是我永恒的向往,出国留学网高考栏目为广大考生们提供“2019全国卷3高考理科数学试卷及答案(图片版)”,想了解更多,请持续关注本站!






来源:新东方在线
小编精心为您推荐:
06-09
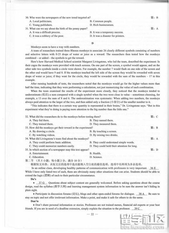
2019年高考,愿你能够好好利用自己的天赋,珍惜每一刻学习的机会,保持着轻松镇定的心态,怀抱着远大的梦想,写出优秀的文章与答案,那么便一定可以收获成功的未来。出国留学网高考频道为大家提供2019全国卷3高考英语真题及答案(图片版),更多高考资讯请关注我们网站的更新!
2019全国卷3高考英语真题及答案(图片版)
全国卷Ⅲ适用地区(丙):云南、广西、贵州、四川、西藏






来源:四川日报
小编精心为您推荐:
06-09
态度决定一切,在高考之中要重视一切的细节,大家才能距离美好的未来更进一步。下面是出国留学网高考栏目为您整理的“2019全国卷3高考英语试卷及答案已公布”,进来了解一下吧!
2019全国卷3高考英语试卷及答案已公布
全国卷Ⅲ适用地区(丙):云南、广西、贵州、四川、西藏






来源:四川日报
小编精心为您推荐:
06-09
今年的高考已经越来越近,多年的努力终于有了实现的价值。下面是小编为您整理的“2019全国卷3高考英语试题及答案已公布”,欢迎大家阅读!
2019全国卷3高考英语试题及答案已公布
全国卷Ⅲ适用地区(丙):云南、广西、贵州、四川、西藏






来源:四川日报
小编精心为您推荐:
06-09
学习过便会有知识的基础,坚持过才会有汗水的浇筑,胜利不日便会到达,现在不要自乱阵脚,尽管可能会感到紧张,这是暴风雨前的宁静,高考如同雏鹰飞翔,展翅高飞才不会有心理负担。出国留学网高考栏目为你提供“2019全国卷3高考理综真题及答案(图片版)”!更多高考内容请持续关注本站!
2019全国卷3高考理综真题及答案(图片版)
全国卷Ⅲ适用地区(丙):云南、广西、贵州、四川、西藏







06-09
高考不但需要理论知识的支持,而且还有着实践经验的要求!出国留学网高考栏目为你整理了“2019全国卷3高考理综试卷及答案已公布”,更多高考资讯请持续关注本站!
2019全国卷3高考理综试卷及答案已公布
全国卷Ⅲ适用地区(丙):云南、广西、贵州、四川、西藏








06-09
时间飞快,在恍惚间,2019年高考已经从我们身边奔驰而过,但是我们早在第一时间就为您抓住了它的尾巴,出国留学网高考频道为您奉上2019全国卷3高考理综试题及答案已公布,与您一起关注今年的高考真题。
2019全国卷3高考理综试题及答案已公布
全国卷Ⅲ适用地区(丙):云南、广西、贵州、四川、西藏








06-09
考场上,空气已经变得火热起来。但只有保持一颗冷静的心,我们才能在这次的考验中站到最后!最新高考真题由国留学网高考频道第一时间为您提供[biaoti],希望及时了解资讯的同学请关注本页面。
2019全国卷3高考文综试卷及答案
全国卷Ⅲ适用地区(丙):云南、广西、贵州、四川、西藏







来源:四川日报
小编精心为您推荐:
06-09
2019年的高考结束后,各位朋友们一定很急切的想知道今年的高考考了哪些内容吧?出国留学网高考频道第一时间为您提供2019全国卷3高考文综真题及答案(图片版),帮您解析最新的高考真题,了解高考资讯,请各位持续关注本站。
2019全国卷3高考文综真题及答案(图片版)
全国卷Ⅲ适用地区(丙):云南、广西、贵州、四川、西藏







来源:四川日报
小编精心为您推荐:
06-09
辛勤苦读十余载,终迎高考见证时,这么多个日夜的学习,不正是为了在高考中一鸣惊人嘛?下面是出国留学网高考频道的小编为您带来的2019全国卷3高考文综试题及答案,欢迎阅读。
2019全国卷3高考文综试题及答案
全国卷Ⅲ适用地区(丙):云南、广西、贵州、四川、西藏







来源:四川日报
小编精心为您推荐:
全国卷3推荐访问