出国留学网专题频道财务成本管理备考知识栏目,提供与财务成本管理备考知识相关的所有资讯,希望我们所做的能让您感到满意!
03-22
“2017年注会师财务成本管理考点整理:期权定价模型”一文由出国留学网注册会计师考试栏目整理,希望可以帮到广大考生,欢迎广大考生前来阅读!
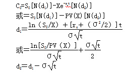
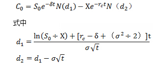
布莱克-斯科尔斯期权定价模型
1.假设
(1)在期权寿命期内,买方期权标的股票不发放股利,也不做其他分配;
(2)股票或期权的买卖没有交易成本;
(3)短期的无风险利率是已知的,并且在期权寿命期内保持不变;
(4)任何证券购买者能以短期的无风险利率借得任何数量的资金;
(5)允许卖空,卖空者将立即得到所卖空股票当天价格的资金;
(6)看涨期权只能在到期日执行;
(7)所有证券交易都是连续发生的,股票价格随机游走。
2.公式

3.参数估计
(1)无风险利率
①期限要求:无风险利率应选择与期权到期日相同的国库券利率。如果没有相同时间的,应选择时间最接近的国库券利率。
②这里所说的国库券利率是指其市场利率(根据市场价格计算的到期收益率),而不是票面利率。
③模型中的无风险利率是按连续复利计算的利率,而不是常见的年复利。
连续复利假定利息是连续支付的,利息支付的频率比每秒1次还要频繁。
4、看涨期权—看跌期权平价定理
对于欧式期权,假定看涨期权和看跌期权有相同的执行价格和到期日,则下述等式成立:
看涨期权价格C-看跌期权价格P=标的资产的价格S-执行价格的现值PV(X)
这种关系,被称为看涨期权-看跌期权平价定理(关系),利用该等式中的4个数据中的3个,就可以求出另外1个。
5、派发股利的期权定价
考虑派发股利的期权定价公式如下:

在期权股价时要从股价中扣除期权到期日前所派发的全部股利的现值。
6、美式期权估价
(1)美式期权在到期前的任意时间都可以执行,除享有欧式期权的全部权力之外,还有提前执行的优势。因此,美式期权的价值应当至少等于相应欧式期权的价值,在某种情况下比欧式期权的价值更大。
(2)对于不派发股利的美式看涨期权,可以直接使用布莱克-斯科尔斯模型进行估价。
(3)理论上不适合派发股利的美式看跌期权估价。
但是BS模型有参考价值,误差不大。
考点练习:多选题
利用布莱克-斯科尔斯期权定价模型估算期权价值时,下列表述正确的有( )。
A、在标的股票派发股利的情况下对期权估价时,要从估价中扣除期权未来所派发的全部股利的现值
03-18
本文“注册会计师财务成本管理知识解析:有效市场效率的区分”,跟着出国留学网注册会计师考试频道来了解一下吧。希望能帮到您!
(一)市场信息的分类
历史信息:指证券价格、交易量等与证券交易有关的历史信息。
公开信息:指公司的财务报表、附表、补充信息等公司公布的信息,以及政府和有关机构公布的影响股价的信息。
内部信息:是指没有发布的只有内幕人知悉的信息。
【提示】所谓的“内幕信息获得者”一般定义为董事会成员、大股东、企业高层经理和有能力接触内部信息的人士。
(二)资本市场有效程度的分类
1.弱式有效市场
含义:
如果一个市场的股价只反映历史信息,则它是弱式有效市场。
【提示】历史信息是指证券价格、交易量等与证券交易有关的历史信息。
判断弱式有效的标志:
有关证券的历史资料(如价格、交易量等)对证券的现在和未来价格变动没有任何影响,证券市场达到弱式有效。
如果有关证券的历史资料对证券的价格变动仍有影响,则证券市场尚未达到弱式有效。
【提示】弱式市场下技术分析无用。
验证方法:
(1)“随机游走模型”;
【提示】如果相关系数为接近零,说明前后两天的股价无关,即股价是随机游走的,市场达到弱式有效。
(2)“过滤检验模型”。
【提示】任何利用历史信息的投资策略所获取的平均收益,都不会超过“简单的购买/持有”策略所获取的平均收益,市场达到弱式有效。
如果证券价格的时间序列存在系统性的变动趋势,使用过滤原则买卖证券的收益率将超过“简单购买/持有”策略的收益率,赚取超额收益,则证券市场尚未达到弱式有效。
考点练习:单选题
最低程度的有效证券市场是( )。
A、无效市场
B、弱式有效市场
C、半强式有效市场
D、强式有效市场
【答案】B
【解析】如果一个市场的股价只反映历史信息,则它是弱式有效市场。弱式有效市场是最低程度的有效证券市场。
注册会计师考试频道推荐:
财务成本管理备考知识推荐访问