出国留学网专题频道备考资料栏目,提供与备考资料相关的所有资讯,希望我们所做的能让您感到满意!
想要解决公务员行测常识这一题型,积累相应的知识点必不可少,下面出国留学网小编为你准备了“公务员行测常识备考资料”内容,仅供参考,祝大家在本站阅读愉快!
21801、亚里士多德:古希腊人,世界古代史上伟大的哲学家、科学家和教育家之一,堪称希腊哲学的集大成者,代表作《工具论》、《物理学》、《形而上学》、《伦理学》、《政治学》。
21802、维吉尔:古罗马最重要的诗人,代表作品《埃涅阿斯纪》,欧洲文学史上第一部由文人独立创作的史诗。
21803、奥古斯丁:古罗马帝国时期基督教思想家,欧洲中世纪基督教神学、教父哲学的重要代表人物,代表作《忏悔录》(世界三大忏悔录,作者分别是奥古斯丁、卢梭、托尔斯泰)。
21804、但丁:意大利人,著名代表作《神曲》,分为《地狱》、《炼狱》、《天堂》三部。恩格斯说:“但丁是中世纪的最后一位诗人,同时又是新时代的最初一位诗人。”
21805、彼特拉克:意大利作家,“人文主义之父”,以十四行诗著称,作品《歌集》。
21806、拉伯雷:法国作家,被称为人文主义的“巨人”,其代表作《巨人传》是法国长篇小说的开端。
21807、薄迦丘:意大利作家,代表作《十日谈》,是欧洲文学史上第一部现实主义作品
21808、塞万提斯:西班牙作家,代表作:《堂吉诃德》,是西班牙文艺复兴时期最杰出的现实主义小说。
21809、蒙田:法国作家,代表作《随笔集》,创散文体裁,“思想的宝库”。
21810、乔叟:英国小说家、诗人,代表作《坎特伯雷故事集》。
21811、莎士比亚:英国剧作家、诗人,文艺复兴时期最杰出的代表。代表作:四大悲剧《哈姆雷特》、《奥赛罗》、《麦克白》、《李尔王》;四大喜剧《仲夏夜之梦》、《威尼斯商人》、《第十二夜》、《皆大欢喜》;历史剧:《亨利四世》、《约翰王》、《理查二世》;其他作品:悲剧《罗密欧与朱丽叶》,喜剧《无事生非》、《辛白林》。
21812、莫里哀:法国古典主义喜剧家。代表作:《伪君子》、《贵人迷》、《悭吝人》,《悭吝人》塑造了著名的吝啬鬼典型阿巴贡。
21813、弥尔顿:英国诗人,是文艺复兴运动和18世纪启蒙思想运动的桥梁。代表作:《失乐园》。 西方三大诗歌:弥尔顿《失乐园》,《荷马史诗》,但丁《神曲》。
21814、拉封丹:法国寓言作家,被誉为“法国的荷马”,代表作:《狼和小羊》、《乌鸦和狐狸》。
21815、伏尔泰:法国启蒙运动的首倡者和领袖。“法兰西之王”、“欧洲的良心”。代表作:史诗《亨利亚德》,《奥尔良少女》,悲剧《欧第伯》,喜剧《放荡的儿子》,哲理小说《老实人》,《天真汉》。
21816、卢梭:法国启蒙思想家、文学家。启蒙运动中最具民主倾向的代表。代表作:《爱弥儿》、《忏悔录》。
21817、孟德斯鸠:法国启蒙思想家,代表作《论法的精神》、《波斯人信札》。
21818、狄德罗:法国启蒙思想家、唯物主义哲学家、作家、百科全书派代表人物。第一部法国《百科全书》主编,代表作《拉摩的侄儿》、《论戏剧艺术》。
21819、博马舍:法国戏剧家,代表作《塞维勒的理发师》、《费加罗的婚礼...
10-27
行测资料分析作为行测考试的一部分,怎么分析材料对于答题很重要,下面由出国留学网小编为你精心准备了“国考公务员考试行测备考:资料分析材料怎么分析”,持续关注本站将可以持续获取更多的考试资讯!
资料分析是我们公考中非常重要的一个部分,各位考生都会重点去学习。但是大部分的考生都会把精力放在学习公式和计算方法上面,而忽视了材料的阅读分析,这样就会导致在找数据时候会花费大量时间。如果我们先去阅读分析材料,这样查找数据就会节省大量时间。
应该如何去阅读材料呢?这也是有方法技巧的,那么接下来给大家介绍一下材料阅读分析的技巧,通过技巧我们可以快速的阅读并记忆材料信息。
在资料分析里面给定的材料通常是文字性材料、表格、图形或者包含其中两种或三种的综合性材料,不同类型的材料我们需要把握不同的阅读分析技巧,接下来我以文字性材料为例详细讲解一下阅读分析的技巧。
例:第一段:2018年,辽宁省全年地区生产总值25315.4亿元,比上年增长5.7%,增速较上年同期加快了1.5个百分点。其中,第一产业增加值2033.3亿元,增长3.1%;第二产业增加值10025.1亿元,增长7.4%,增速提高显著,去年仅为32%;第三产业增加值13257.0亿元,增长4.8%,较上年同期收窄了0.2个百分点。全年人均地区生产总值58008元,比上年增长5.9%,同比加快1.6个百分点。
以上面材料为例
第一步阅读,重点阅读材料中的时间和统计指标,也就是材料中划线的地方,至于数据不用看。
第二步概括,概括段落大意,这一段主要说的是2018年辽宁省全年地区生产总值的情况,另外还提到了人均地区生产总值。
第三步分析段内关系,这一段开始描述的是全省全年地区生产总值,然后分第一、二、三产业进行描述,先整体后部分,也就是总分关系。
如果是一段的材料我们分析到这就可以了,如果是多段的材料,我们还需要进行第四步的分析,段间分析,也就是段与段直接的关系。
例如接上面例题
第二段:全年社会消费品零售总额14142.8亿元,比上年增长6.7%,其中限额以上单位消费品零售额实现3435.2亿元,同比增长0.3%。分经营地看,全年城镇零售额12376.4亿元,比上年增长6.4%;乡村零售额1766.4亿元,增长9.3%。分消费类型看,全年商品零售额12412.0亿元,比上年增长6.6%;餐饮收入额1730.8亿元,增长7.3%。
第三段:在各类限额以上批发零售业商品零售额中,全年粮油、食品类零售额258.6亿元,比上年增长5.7%;饮料类零售额29.9亿元,增长8.9%;化妆品零售额64.1亿元,增长5.5%;金银珠宝零售额108.8亿元,增长2.5%;家用电器音响器材类零售额255.4亿元,增长2.7%;中西药品类零售额140.1亿元,增长10.7%;文化办公用品类零售额72.5亿元,增长11.0%;通讯器材类零售额116.21元,增长0.6%;石油及制品类零售额578亿元,增长20.3%;烟酒类零售额43.6亿元,下降10.3%;服装、鞋帽、针织纺织品类零售额365.3亿元,下降3.3%;日用品类零...
09-01
想要备考好公务员行测,了解考点非常重要, 下面由出国留学网小编为你精心准备了“公务员行测备考:资料分析贡献率考点汇总”,持续关注本站将可以持续获取更多的考试资讯!
在行测资料分析的学习过程中关键是公式的记忆,现在对于一些了解性的概念考查越来越多了。其中,贡献率是这些概念中相对比较常考的公式。接下来就由小编带领大家一起来学习贡献率,让大家来进一步了解贡献率的相关考点。
含义 一般指整体中某部分的增长量对于整体增长的作用大小,实际考查指整体中某部分的增长量占整体增长量的比重。各部分贡献率之和等于1,贡献率可正可负,可能超过100%。
计算公式

部分与整体的区别:部分对整体,通过对字,对字之前为部分,对字之前为整体。
公式变形

贡献率的应用 例1.2010年我国农村居民人均纯收入由2005年的3255元提高到5919元,增加2664元,其中农村居民家庭生产经营人均纯收入2833元,比2005年增加988元,增长53.6%。
问题:2005年-2010年我国农村居民家庭生产经营人均纯收入对农村居民人均纯收入增加的贡献率约为多少?
小编解析:问题出现了…对…的贡献率,可以直接代入公式,对字前面的农村居民家庭生产经营人均纯收为部分,对字后的农村居民人均纯收入为整体,则列式为

例2.2011年全国农村居民人均纯收入6977元,比上年增加1058元,其中:人均工资性收入2963元,同比增长21.9%。
问题:2011年全国农村居民人均工资性收入对全国农村居民人均纯收入增加的贡献率约为多少?
解析:问题出现了…对…的贡献率,可以直接代入公式,对字前面的全国农村居民人均工资性收入为部分,对字后的全国农村居民人均纯收入为整体,则列式为

主旨观点题是行测言语理解考试中非常重要的一类题型,对于主旨观点题而...
08-31
考研备考的前期是需要准备很多资料的,那备考资料有些什么呢?下面由出国留学网小编为你精心准备了“2021年考研数学备考资料”,持续关注本站将可以持续获取更多的考试资讯!
2021年考研数学备考资料
一、考试大纲和考试分析
国家教委制定的大纲严格划定了各类专业考生应考的范围和难度要求,这应该是一切考生最权威最有用的参考资料之一,也是考生制定计划的依据。
考试分析是配合大纲编写的,一方面是对大纲知识点进行进一步地分析,另一方面就是对试题和考生试卷情况的分析,便于大家更准确给自己进行定位,是一种历史性的参考资料。
二、历年试题
这些试题对于了解考研题型,体会出题思路,把握命题重点,强化答题技巧和训练答题规范有重大意义。
现在的辅导书一般都会在书中穿插着或者在后面以附录的形式给出部分试题,不过整套包含详细答案和评分细则的试题仍然有着不可替代的作用,因为考研试题不但要从每道题上符合严格的出题规范,还要从整体上符合预期的难度和区分度,因此整套的试题更能反映命题特点。
另外,值得注意的一点是,现在的辅导资料往往都没有答题规范的讲解,规范的答题还可以让思路更清楚,从答案来看,每道题要求的关键步骤都不多,最后的考试时间紧任务重,明智的做法就是:没用的步骤不要写,写就要写到点子上。
三、教材类
“高等数学”同济版:讲解比较细致,例题难度适中,涉及内容广泛,是现在高校中采用比较广泛的教材,配套的辅导教材也很多。
《线性代数》清华版:讲解翔实,细致深入,适合时间充裕的同学(推荐)。
《线性代数》同济版:轻薄短小,简明易懂,适合基础不好的同学。
《概率论与数理统计初步》浙大版:课后习题基本的题型都有覆盖。其他版本也可以,内容的变化相差不是很多。
四、辅导材料
看教材的好处是全面细致,但往往耗时太长,而且重点不突出,对于考研的同学来说常常感觉跌到云里雾里。辅导材料我们在后面的复习中每一个阶段都要用到,这里基本按照时间进行排序。
首先是综合类的辅导全书,然后是针对性的习题集,最后阶段还可以用到最新的模拟题等。这类辅导资料种类很多,是市面上考研数学复习资料的主体,我们在这里不推荐具体的书名,大家可以根据自己的特点选择合适的资料。
推荐阅读:
在考场上人与人拉开差距的除了平常的知识点的积累,还有面对考试题型能够有一个更好的解答思路,下面由出国留学网小编为你精心准备了“行测备考:资料分析公式汇总”,持续关注本站将可以持续获取更多的考试资讯!
行测备考:资料分析公式汇总
在近年来的公考中,行测是必考科目,无论是国考、省考还是事业单位考试,在行测考试判断推理、言语理解和资料分析等部分是抓分的题目,所以很多学员会把自己复习的重点放这几个部分。相比之下,资料分析比较简单,是考生必拿分数的部分,同时也能在短时间内提高分数的部门。想要学好资料分析掌握常考题型是关键。在资料分析中有四大常考知识点,即增长、比重、平均是和倍数。每一个知识点都含有多个常考题型,小编在此进行总结,具体如下:
一、增长
在增长中主要考察的是增长量、增长率、现期值及基期值的计算和比较。

二、比重
比重主要考察比重的基本公式、基期比重及比重变化的判断和比重变化量的计算。
1、比重的基本公式

三、平均数
平均数主要考察平均数的基本公式、基期平均数及平均数变化的判断、变化量、增长率的计算。
1、平均数的基本公式


四、倍数
倍数主要考察倍数的基本知识、基期倍数及翻番。

推荐阅读:
又快了国考考试时间了,许多考生都在积极的备考,为了帮助广大考生更好的归类重点,理解题型,下面由出国留学网小编为你精心准备了“行测备考:资料分析公式”,持续关注本站将可以持续获取更多的考试资讯!
行测备考:资料分析公式
2020国考行测资料分析题目中很多题目都要用到公式解答,我们做题,除了要记住公式,更重要的是要学会选择合适的公式。
题目不会没关系,会用公式是关键,两期比重公式是比重类公式中较为复杂的一种,考试中经常用到。今天华图教育集团阿信老师就给大家分享资料分析中常用的两期比重相关公式。
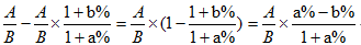
(七)两期比重相关公式
(1)两期比重=
![]()
。其中现期量部分值为A,部分值增长率为a%,现期量整体值为B,整体量增长率为b%。
(2)公式推导。
两期比重=现期比重-基期比重=
![]()
(3)使用方法。在国考中,计算两期比重具体差值比较复杂,考察的不多,一般多是用在比较大小上。
![]()
一定小于(a%-b%)的绝对值。
下面我们来通过真题练习一下公式运用。

2016年该市本级完成财政一般预算支出49.86亿元,比上年增支16.79亿元,增长50.8%。
(材料节选)
【例1】 2016年该市本级主要预算支出项目中,占总预算支出比重较上年有所提高的项目个数有:
A. 7个
B. 6个
C. 5个
D. 4个
【解析】
第一步,本题考查两期比重比较,看有几项今年的比重高于去年的比重,根据两期比重公式
想要考一级建造师的同学,小编为你整理了2019年一建《通信与广电工程》备考资料,希望能帮助到你,更多资讯,请关注网站更新。
一、铁件安装
铁件安装前,应检查材料质量。不得使用生锈、污渍、破损的材料。 铁件安装或加固的位置应符合设计平面图的要求。
安装的立柱应垂直,垂直偏差应不大于立柱全长的 1‰;铁架上梁、连固铁应平直无明显弯曲; 电缆支架应端正,距离均匀;列间撑铁应在一条直线上,铁件对墙加固处应符合设计图要求; 吊挂安装应牢固、垂直,一列有多个吊挂,吊挂应在一条直线上。
二、电缆走道及槽道安装
电缆主走道及槽道左右偏差不得超过 50mm。
水平走道应与列架保持平行或直角相交,水平度每米偏差不超过 2mm。垂直走道应与地面保持垂直并无倾斜现象,垂直度偏差不超过 1‰。
走线架应保证电气连通,就近连接至室内保护接地排,接地线采用 35mm2 黄绿多股铜芯电缆。注:设备接地一般用 16mm2 黄绿多股铜芯电缆。
机房内的接地排应采用不小于 90mm2 黄绿多股铜芯电缆连接至接地桩上。(老师:经过教材比对发现课本原文为:走线架应保证电气联通,就近连接至室内保护接地排,接地线宜采用 35mm2 黄绿色多股铜芯电缆。)
三、机架设备安装
(一)机架安装
机架安装前,应根据设计图纸的尺寸,画线定位,安装位置应满足施工图设计平面图的要求。
需加固底座或机帽时,其规格、型号和尺寸应与机架相符,总体高度应与机房整体机架高度一致,漆色同机 架颜色基本一致。
按照机架底角孔洞数量安装底脚螺栓,机架底面 600mmx300mm 及其以上时应使用 4 只,机架底面在 600mmx300mm
以下时,可使用 2 只。
机架的垂直度偏差应不大于 1‰,调整机架垂直度时,可在机架底角处放置金属片,最多只能垫机架的三个底
角。
一列有多个机架时,应先安装列头首架,然后依次安装其余各机架,整列机架前后允许偏差为 3mm,机架之间
的缝隙上下应均勻一致。机门安装位置应正确,开启灵活。机架、列架标志应正确、清晰、齐全。
例:某传输机房新增四列设备,设备高度和完工后的垂直偏差数据如下,指出不合格的列为( )。
A. 机架高 1.8m,垂直偏差 1.6mm
B. 机架高 2m,垂直偏差 1.8mm
C. 机架高 2m,垂直偏差 2.0mm
D. 机架高 2.6m,垂直偏差 3.0mm 答案:D
例:背景资料
某公司承接 SDH 光通信终端站设备安装工程,包括 DDF 架、电缆走道和桥架等施工;检查中发现:架高 2.6m 的 DDF 架垂直偏差为 3.4mm,3m 长的过桥走道两端高度差为 8mm,2.6m 高的立柱垂直偏差为 2.6mm。
问题
1. 根据预验结果,指出铁件和机架安装工作需返工的内客并说明原因。...
01-11
还有将近两个月就要考试了,你准备好了吗?考试栏目组小编为你准备了“证券从业资格证法律法规证券资产管理业务备考资料”,一起来看看吧,能为你的考试添砖贴瓦,想知道更多知识内容,请持续关注网站的更新。
证券从业资格证法律法规证券资产管理业务备考资料

一、资产管理业务的含义与分类
定向 资产管理业务 | 证券公司与单一客户签订定向资产管理合同,通过专门账户为客户提供资产管理服务 的业务。 |
集合 资产管理业务 | 证券公司设立集合资产管理计划,与多个客户签订集合资产管理合同,将客户资产交 由取得基金托管业务资格的资产托管机构托管,通过专门账户为客户提供资产管理服 务的业务。 |
专项 资产管理业务 | 证券公司与客户签订专项资产管理合同,针对客户的特殊要求和基础资产的具体情 况,设定特定投资目标,通过专门账户为客户提供资产管理服务的业务。 |
二、资产管理业务基本要求
【人员】
1.证券公司开展资产管理业务,投资主办人不得少于 5 人;
2.投资主办人须具有 3 年以上证券投资、研究、投资顾问或类似从业经历;
3.具备良好的诚信纪录和职业操守;
4.通过中国证券业协会的注册登记。
【募集推广】合格投资者
证券公司可以自行推广集合资产管理计划,也可以委托其他证券公司、商业银行或者中国证监会认可的其他机构代为推广。
客户参与资金存入集合计划份额登记机构指定的专门账户。
【委托资产】
01-11
考试栏目组小编为你提供“证券从业资格证法律法规证券公司信用业务备考资料”,希望能在你考试前多为你巩固知识,想知道更多知识内容,关注一下网站吧!
证券从业资格证法律法规证券公司信用业务备考资料

一、融资融券业务
(一)证券公司融资融券业务管理的基本原则
1.合法合规性原则
2.集中管理原则
3.业务隔离原则
4.了解客户原则
(二)证券公司融资融券业务资格的取得
证券公司申请融资融券业务资格应具备的条件
(1)具有证券经纪业务资格;
(2)公司治理健全,内部控制有效,能有效识别、控制和防范业务经营风险和内部管理风险;
(3)公司及其董事、监事、高级管理人员最近 2 年内未因违法违规经营受到行政处罚和刑事处罚,且不存在因涉嫌违法违规被中国证监会立案调查或者正处于整改期间的情形;
(4)财务状况良好,最近 2 年各项风险控制指标持续符合规定;
(5)客户资产安全、完整,客户交易结算资金第三方存管有效实施,客户资料完整真实;
(6)已建立完善的客户投诉处理机制,能够及时、妥善处理与客户之间的纠纷;
(7)信息系统安全稳定运行,最近 1 年未发生因公司管理问题导致的重大事故,融资融券业务技术系统已通过证券交易所、证券登记结算机构组织的测试;
(8)有拟负责融资融券业务的高级管理人员和适当数量的专业人员;
(9)中国证监会规定的其他条件。
【口诀】经纪业务已拥有,三方投诉都建立;专业人员都具备,老板 2 年不受罚;财务状况要良好,风险 2 年符指标;技术系统已通过,1 年没有大事故。
(三)融资融券业务的决策授权体系
董事会(负责制定融资融券业务的基本管理制度,决定与融资融券业务有关的部门设置及各部门职责,确定融资融券业务的总规模)
业务决策机构(负责制定融资融券业务操作流程,选择可从事融资融券业务的分支机构,确定对单一客户和单一证券的授信额度、融资融券的期限和利率(费率)、保证金比例和最低维持担保比例、可充抵保证金的证券种类及折算率、客户可融资买入和融券卖出的证券种类)业务执行部门(负责融资融券业务的具体管理和运作,制订融资融券合同的标准文本,确定对具体客户的授信额度,对分支机构的业务操作进行审批、复核和监督)
分支机构(在公司总部的集中监控下,按照公司的统一规定和决定,具体负责客户征信、签约、开户、保证金收取和交易执行等业务操作)
(四)融资融券业务的账户体系
证券公司的账户体系
政治也就是思想品德,面临着“考考考,考试的法宝,分分分,学生的命根。”,你的政治备考做好了吗?考试栏目组小编为你整理了中考政治备考资料,希望可以帮到你。
| 2019年中考政治备考资料汇总 | |
| 1 | 2019年中考政治备考资料:坚持党的基本路线不动摇 |
| 2 | 2019年中考政治备考资料:中国与科教创新 |
| 3 | 2019年中考政治备考资料:中国与世界 |
| 4 | |
备考资料推荐访问