出国留学网专题频道导数与微分栏目,提供与导数与微分相关的所有资讯,希望我们所做的能让您感到满意!
在考研初试中,考研数学科目在其中占据着极其重要的位置,而高数却是考研数学一、二、三共同需要面对的公共考试内容,为了帮助2021年考研备考考生更好的梳理高数考点知识,下面出国留学网小编就高数中的导数与微分如何备考与大家一起探讨,让我们一起来看看吧!
一、扎实概念基础
基础的牢固是考生对于高数导数与微分学习的关键之处,原因大致可分为两个部分,一是考试内容相对其他高数知识较为简单,比如在学习常见的求导公式,我们在很早之前的高中就有过接触;二是,考试中出题的内容大多是对于导数与微分概念性理解或者是极值的理解,这些概念相对其他考点知识来说较为简单,但在考试中常会常会深究概念理解,所以也需要考生对于知识点的掌握牢固,在做题的时候不可出现一知半解的答题!
二、掌握高频考点
导数与微分高频考点主要分为三个部分,第一部分是可导与可微,该部分考点基本上在每年的时候都会出现,也算是逢考必出的情况,根据考试的情形来看,考察的方式主要是变形的形式,但深究根本主要还是考察考生对于极值的掌握;第二部分是导数的应用,导数的应用在历年考试当中都会出一些选择题进行考察,主要是考察考生对于极值概念的理解;第三部分则是导数计算,在导数计算中复合函数是导数计算的一大考点,通常要求考生在此基础上掌握运用幂指函数求导,参数方程求导以及隐函数求导。
三、加强日常训练,提升计算能力
在掌握扎实的基础知识以及了解考察重点方向后,接下来就是进行专项巩固训练提升了,针对高频考点进行刷题巩固,在刷题的过程中,考生不当当应该只是做这一道题目,更是要了解这道题目背后的一个思维逻辑方式,要知道如何从一些已知条件中找到其中的相关性并进行突破,只有勤加练习多去总结和反思错误,这样在之后的备考中才能更加有效的进行突破!
以上便是出国留学网小编根据以往前辈的备考经验所总结的一些备考建议,希望本篇文章能够给正在备考2021考研的考生带来少许的帮助,也祝各位考生备考一切顺利!
...
数学想要获得高分,必要的公式与定理务必记熟,为了方便广大考研学子能够更加系统的复习,以下是出国留学网小编为大家准备的“2020考研数学高数必背定理:导数与微分”,大家一起来看看吧!
2020考研数学高数必背定理:导数与微分
以下是2020考研数学高数必背定理:导数与微分的具体内容:
►导数与微分
1、导数存在的充分必要条件:函数f(x)在点x0处可导的充分必要条件是在点x0处的左极限lim(h→-0)[f(x0+h)-f(x0)]/h及右极限lim(h→+0)[f(x0+h)-f(x0)]/h都存在且相等,即左导数f-′(x0)右导数f+′(x0)存在相等。
2、函数f(x)在点x0处可导=>函数在该点处连续;函数f(x)在点x0处连续≠>在该点可导。即函数在某点连续是函数在该点可导的必要条件而不是充分条件。
3、原函数可导则反函数也可导,且反函数的导数是原函数导数的倒数。
4、函数f(x)在点x0处可微=>函数在该点处可导;函数f(x)在点x0处可微的充分必要条件是函数在该点处可导。
推荐阅读:
出国留学网成人高考栏目为您带来“2017年成人高考数学考点:导数与微分”,希望对大家有所帮助。更多新闻资讯、复习资料、模拟试题尽在出国留学网!
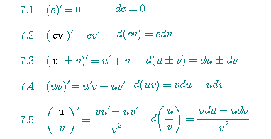
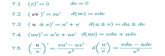
导数与微分
1、求导与微分法则

2、导数及微分公式

出国留学网成人高考频道提醒考生关注成人高考报名、成人高考招生、成人高考考试等信息:
2017年成人高考招生信息...
准备参加2017年成人高考的小伙伴们要开始准备备考了,好的准备才能得到好的结果,大家都要加油哦!出国留学网成人高考栏目为大家带来“成人高考2017年高数基本知识点:导数与微分”,希望大家能有所收获。
第二讲 导数、微分及其应用
一、理论要求

二、题型与解法

准备参加2017年成人高考的小伙伴们要开始准备备考了,好的准备才能得到好的结果,大家都要加油哦!出国留学网成人高考栏目为大家带来“成人高考高起点数学2017常考公式之导数与微分”,希望大家能有所收获。


导数与微分推荐访问