出国留学网专题频道考研历年答案栏目,提供与考研历年答案相关的所有资讯,希望我们所做的能让您感到满意!
12-11
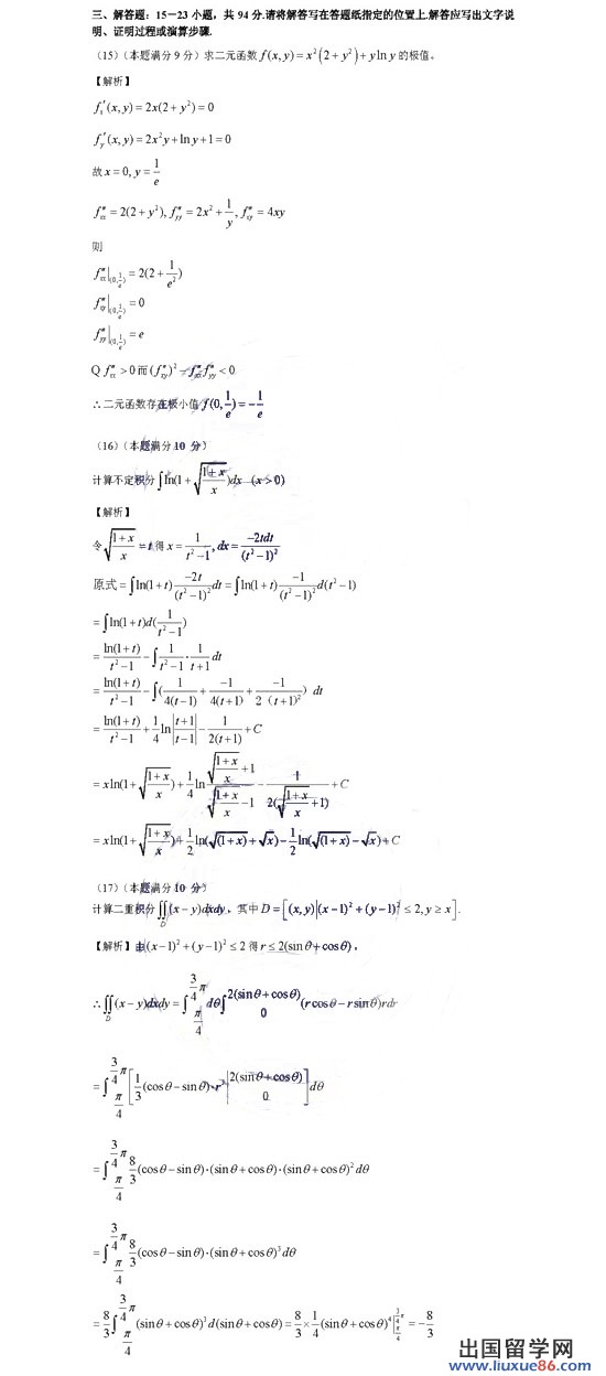
以下《2009考研数学真题以及答案解析》由出国留学网考研真题频道为您精心提供,欢迎大家参考。
考研真题频道推荐链接:
与考研历年答案相关的考研数学
以下《2009考研数学三真题以及答案解析》由出国留学网考研真题频道为您精心提供,欢迎大家参考。
2014年研究生考试大纲——数学二
2014年数学一研究生考试大纲
2014考研数学冲刺复习攻略汇总
以下《2009考研数学一参考答案(文都版)》由出国留学网考研真题频道为您精心提供,欢迎大家参考。
2014考研数学一冲刺模拟题汇总
以下《2010考研数学三真题及答案》由出国留学网考研真题频道为您精心提供,欢迎大家参考。
以下《2010考研数学二真题以及答案解析》由出国留学网考研真题频道为您精心提供,欢迎大家参考。
2014年数学一研究生考试大...
以下《考研数学历年真题及答案之2010》由出国留学网考研真题频道为您精心提供,欢迎大家参考。
考研历年答案推荐访问
搜索更多内容
考研历年答案相关推荐
编辑推荐
热点推荐