出国留学网专题频道考研高等数学公式大全栏目,提供与考研高等数学公式大全相关的所有资讯,希望我们所做的能让您感到满意!
08-14
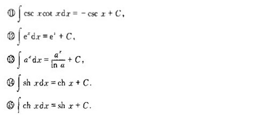
为了方便广大考试复习高等数学的公式,出国留学网考研英语频道为大家提供2015年考研高等数学公式汇总,希望能帮助大家。
2015年考研高等数学公式汇总
高等数学三角公式:
2015考研数学》》
与考研高等数学公式大全相关的考研数学
考研高等数学公式大全推荐访问
搜索更多内容
考研高等数学公式大全相关推荐
编辑推荐
热点推荐