出国留学网专题频道公式推导过程栏目,提供与公式推导过程相关的所有资讯,希望我们所做的能让您感到满意!
数学的公式都是由简单到复杂的,很多时候,我们学着学着就学不下去了,其实最主要的还是公式不够了解,出国留学网的小编现在就带你们去看看这二倍角公式如何推导,感兴趣的朋友们不要错过了哦。
正弦二倍角公式:sin2α=2cosαsinα
推导:
sin2α=sin(α+α)=sinαcosα+cosαsinα=2sinαcosα
余弦二倍角公式:
余弦二倍角公式有三组表示形式,三组形式等价:
1.cos2α=2cos^2α-1
2.cos2α=1−2sin^2α
3.cos2α=cos^2α−sin^2α
推导:
cos2A=cos(A+A)=cosAcosA-sinAsinA=cos^2A-sin^2A=2cos^2A-1=1-2sin^2A
正切二倍角公式:
tan2α=2tanα/[1-(tanα)^2]
tan(1/2*α)=(sinα)/(1+cosα)=(1-cosα)/sinα
推导:
tan(2a)=tan(a+a)=(tan(a)+tan(a))/(1-tan(a)*tan(a))=2tanα/[1-(tanα)^2]
1、根据倍角公式得:
coa2a=1-2sin2α,可得
cosa=1-2sin2(α/2),可得
1-cosa=2sin2(α/2),可得
sin2(α/2)=(1-cosa)/2,可得,sin((a/2)=根号(1-cosa)/2)
cos2(α/2)=1-sin2(α/2)
所以:cos2(α/2)=1-(1-cosa)/2=(1+cosa)/2
所以:cos(a/2)=根号(1+cosa)/2
因为:tana=sina/cosa
所以:tan(a/2)=sin(a/2)/cos(a/2)
所以:tan(a/2)=根号((1-cosa)/(1+cosa))
2、在cos2α=1-sin2α中,以α代2α,α/2代α,得:
cosα=1-sin2α/2所以sin2α/2=(1-cosα)/2
在cos2α=2cos2α-1中,以α代2α,α/2代α,得
cosα=2cos2(α/2)-1所以cos2(α/2)=(1+cosα)/2
然后以上结果相除
tan2α/2==(1-cosα)/(1+cosα)
1-cosα/sinα=1-(1-sin2α/2)/[2sin(α/2)cos(α/2)]
=2sin(α/2)/cos(α/2)
=tanα/2
二倍角公式如何推导?还有就是半角公式推导过程,出国留学网的小编已经给你们整理好了哦,想要读懂上面的知识的话,你们可能需要花一点点时间哦。
推荐阅读:
02-24
在学习数学的过程中,经常会遇到复合函数求导的问题,那么复合函数求导公式推导过程有哪些呢?下面是由出国留学网编辑为大家整理的“复合函数求导公式推导过程有哪些 该如何推导”,仅供参考,欢迎大家阅读本文。
复合函数求导公式推导过程有哪些
假设我们要求f(g(x))对x的导数,且f(g(x))和g(x)均可导。
首先,根据定义:当h->0时,g'(x)=lim(g(x+h)-g(x))/h,所以,当h->0时,lim(g(x+h)-g(x))/h-g'(x)->0
设v=(g(x+h)-g(x))/h-g'(x)
就有:g(x+h)=g(x)+(g'(x)+v)h
同理:f(y+k)=f(y)+(f'(y)+u)k
所以,f(g(x)+[g'(x) + v]h)=f(g(x))+[f'(g(x))+v]*[g'(x)+v]h (其实就是y=g(x),k=[g'(x) + v]h)
所以,(f(g(x+h))-f(g(x)))/h=(f(g(x))+[f'(g(x))+u]·[g'(x)+v]h−f(g(x)))/h
=[f'(g(x))+u]·[g'(x)+v]
当h->0时,u和v都->0,这个容易看。
所以当h->0时,(f(g(x+h))-f(g(x)))/h=[f'(g(x))+0]·[g'(x)+0]
=f'(g(x))·g'(x)
然后f'(g(x))=f'(g(x))·g'(x)
复合函数求导公式是什么
1、设u=g(x),对f(u)求导得:f'(x)=f'(u)*g'(x)。
2、设u=g(x),a=p(u),对f(a)求导得:f'(x)=f'(a)*p'(u)*g'(x)。
3、设函数y=f(u)的定义域为Du,值域为Mu,函数u=g(x)的定义域为Dx,值域为Mx,如果 Mx∩Du≠Ø,那么对于Mx∩Du内的任意一个x经过u;有唯一确定的y值与之对应,则变量x与y 之间通过变量u形成的一种函数关系,这种函数称为复合函数(composite function),记为: y=f[g(x)],其中x称为自变量,u为中间变量,y为因变量(即函数)。
4、定义域:若函数y=f(u)的定义域是B,u=g(x)的定义域是A,则复合函数y=f[g(x)]的定义域是D= {x|x∈A,且g(x)∈B} 综合考虑各部分的x的取值范围,取他们的交集。
5、周期性:设y=f(u)的最小正周期为T1,μ=φ(x)的最小正周期为T2,则y=f(μ)的最小正周期为 T1*T2,任一周期可表示为k*T1*T2(k属于R+)。
6、单调(增减)性的决定因素:依y=f(u),μ=φ(x)的单调性来决定。即“增+增=增;减+减=增; 增+减=减;减+增=减”,可以简化为“同增异减”。
...
圆台是数学几何中一个重要的图形,在考试时也经常出现相关题目。下面是由出国留学网编辑为大家整理的“圆台体积公式推导过程详解”,仅供参考,欢迎大家阅读本文。
圆台体积公式
V=1/3πh(r²+R²+rR)
公式中r为上底半径、R为下底半径、h为高。
圆台的表面积公式:S=πr²+πR²+πRl+πrl=π(r²+R²+Rl+rl)
r-上底半径、R-下底半径、h-高、l—母线=根号下[(R-r)²+h²]
圆台体积公式推导过程
最简单的是使用极限的思想,将圆台横截成无数个小圆台,则每个圆台可以近似的看成一个圆柱,那么再使用微积分即可求解:S侧=∫(0到l)2πdz=π(r1+r2)l。其中l为圆台母线长,r1,r2为上下圆半径由此S=S侧+S上+S下=π(r1+r2)l+πr12+πr22=π(r'2+r2+r'l+rl)。当然用旋转体表面积公式S=2π∫ydx,其中y=(r2-r1)x/L+r1,也可求解S侧。
拓展阅读:圆台的性质
平行于底面的截面是圆。
过轴的截面是等腰梯形。
同别的棱台一样,若它是一个圆锥体在½处截断,则上底半径也应为下底的1/2,截下面积是整个圆锥面积的1/7.过圆台侧面一点有且只有一条母线。
如果沿一个直角梯形垂直于底边的腰旋转一周,将得到一个圆台。
圆台任意两条母线延长后交于一点。
...
平均速度是物理学中一个常见的知识点,考试中经常会出现需要计算平均速度的题目。下面是由出国留学网编辑为大家整理的“平均速度公式推导过程详解”,仅供参考,欢迎大家阅读本文。
平均速度的定义
平均速度是指在某段时间内物体运动的位移与所用时间的比值,或者说是表示物体在时间间隔△t内的平均运动快慢程度。
平均速度的公式
平均速度=△x/△t(△x=位移,△t=通过这段位移所用的时间)。
2×V1×V2÷(V1+V2)=平均速度(前半路程平均速度V1,后半路程平均速度V2)。
平均速度的公式推导
匀变速直线运动的位移公式s=v0t+1/2at²
匀变速直线运动平均速度v平均=s/t=v0+at/2
已知a=(vt-v0)/t
v平均=s/t=v0+at/2=v0+(vt-v0)/2=(v0+vt)/2
匀变速直线运动的平均速度公式v平均=(v0+vt)/2
拓展阅读:平均速率和平均速度的区别
一、定义:平均速率是单位时间内的路程(经过的路线);平均速度是单位时间内的位移(这段时间内质点首末位置的向量)。
二、速率只有一个大小,是标量;速度除了大小还有方向,方向是此时轨迹曲线的切线方向,是矢量;
三、公式:平均速率=路程/时间;平均速度=位移/时间;
...11-20
向心力是物理学中一个重要知识点,那它的公式是怎样推导出来的?下面是由出国留学网编辑为大家整理的“向心力公式推导过程有哪些”,仅供参考,欢迎大家阅读本文。
向心力公式
质量为m的物体以速度v沿曲率半径为r的曲线运动时所需的向心力F为:

其中:v为线速度单位m/s,ω为角速度单位rad/s,m为物体质量 单位kg,r为物体的运动半径 单位m,T为圆周运动周期 单位s,f为圆周运动频率单位Hz,n为圆周运动转速(即频率)单位r/s。
向心力公式的推导过程
第一向心力:设质点沿半径为r的圆周做匀速圆周运动,在某时刻速度为v1 很短的△t时间后为v2速度矢量改变△v=v2-v1 比值Δv/Δt就是质点的平均加速度,方向与Δv相同。当Δt足够小时比值就是瞬时加速度,A B两点就重合为一点,Δv即a的方向就是切线方向。
用Δs 表示AB长则Δv=v1*Δs/r 用Δv去除 则Δv/Δt=Δs*v/Δt*r 当Δt趋近于0时 Δv/Δt表示a的大小 Δs/Δt表示线速度的大小v1于是 a=v2/r再由F=ma得到F=mv2/r 用极限的思想推导。
拓展阅读:向心力一定是合外力吗?
不是的。如果是匀速圆周运动,则合外力完全用来充当向心力,合外力完全充当向心力是物体做匀速圆周运动的充分必要条件。但物体若只做简单的圆周运动,那就不一定了。它的力可以沿各个方向,只要有向心力分量即可。
...11-15
等比数列是数学中一个重要的知识点,那么你知道等比数列的求和公式及其推导过程吗?下面是由出国留学网编辑为大家整理的“等比数列前n项和公式推导过程(实用)”,仅供参考,欢迎大家阅读本文。
等比数列前n项和公式

公式中a1为数列首项,q为等比数列的公比,Sn为前n项和。
等比数列前n项和公式推导过程
等比数列前n项和公式:Sn=a1(1-q^n)/(1-q)。
推导如下:
因为an=a1q^(n-1)
所以Sn=a1+a1*q^1+...+a1*q^(n-1)(1)
qSn=a1*q^1+a1q^2+...+a1*q^n(2)
(1)-(2)注意(1)式的第一项不变。
把(1)式的第二项减去(2)式的第一项。
把(1)式的第三项减去(2)式的第二项。
以此类推,把(1)式的第n项减去(2)式的第n-1项。
(2)式的第n项不变,这叫错位相减,其目的就是消去这此公共项。
于是得到
(1-q)Sn=a1(1-q^n)
即Sn=a1(1-q^n)/(1-q)。
拓展阅读:等比数列的性质
①在等比数列{an}{an}中,若m+n=p+q=2k(m,n,p,q,k∈N∗)m+n=p+q=2k(m,n,p,q,k∈N∗),则am⋅an=ap⋅aq=a2kam⋅an=ap⋅aq=ak2;
②若数列{an}{an},{bn}{bn}(项数相同)是等比数列,则{λan}(λ≠0){λan}(λ≠0),{1an}{1an},{a2n}{an2},{an⋅bn}{an⋅bn},{anbn}{anbn}仍然是等比数列;
③在等比数列{an}{an}中,等距离取出若干项也构成一个等比数列,即an,an+k,an+2k,an+3k,⋯an,an+k,an+2k,an+3k,⋯为等比数列,公比为qkqk;
④q≠1q≠1的等比数列的前2n2n项,S偶=a2⋅[1−(q2)n]1−q2S偶=a2⋅[1−(q2)n]1−q2,S奇=a1⋅[1−(q2)n]1−q2S奇=a1⋅[1−(q2)n]1−q2,则S偶S奇=qS偶S奇=q;
⑤等比数列的单调性,取决于两个参数a1a1和qq的取值,an=a1⋅qn−1an=a1⋅qn−1。
...
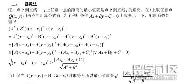
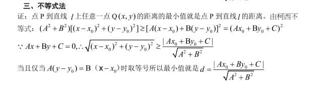
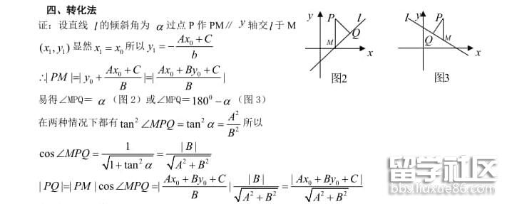
点到直线的公式:d=│(Axo+Byo+C)/√(A²+B²)│,那么这个公式的推导过程是怎样的呢?下面是由出国留学网编辑为大家整理的“点到直线的距离公式推导过程有哪些”,仅供参考,欢迎大家阅读本文。
点到直线的距离公式的七种推导方法







等比数列是高中数学中一个十分重要的知识点,同时也是考试中一个常见的考点。下面是由出国留学网编辑为大家整理的“等比数列求和公式推导过程是什么”,仅供参考,欢迎大家阅读本文。
等比数列前n项和公式

公式中a1为数列首项,q为等比数列的公比,Sn为前n项和。
等比数列求和公式推导
方法1:
第一项:a1, 公比:q
a1=a1
a2=a1•q¬
a3=a1•q¬2
a4=a1•q¬3
an=a1•q¬n-1
an+1=a1•qn¬
Sn+1=a1+a1•q¬+a1•q¬2+a1•q¬3+…+a1•q¬n-1+ a1•qn¬
Sn+1=a1+q(a1•q¬+a1•q¬2+a1•q¬3+…+a1•q¬n-1)
Sn+ a1•qn =a1+q•Sn
Sn-q•Sn= a1-a1•qn
Sn= a1•(1- qn)/(1-q)
方法2:
(1)Sn=a1+a2+a3+...+an(公比为q)
(2)q*Sn=a1*q+a2*q+a3*q+...+an*q
=a2+a3+a4+...+a(n+1)
(3)Sn-q*Sn=a1-a(n+1)
(4)(1-q)Sn=a1-a1*q^n
(5)Sn=(a1-a1*q^n)/(1-q)
(6)Sn=(a1-an*q)/(1-q)
(7)Sn=a1(1-q^n)/(1-q)
(8)Sn=k*(1-q^n)~y=k*(1-a^x)
拓展阅读:等比数列求通项方法

08-09
公式是数学题目的解题关键,那么线性回归方程公式推导过程是什么呢?下面是由出国留学网小编为大家整理的“线性回归方程公式推导过程”,仅供参考,欢迎大家阅读。
线性回归方程公式推导过程
假设线性回归方程为: y=ax+b (1),
a,b为回归系数,要用观测数据(x1,x2,...,xn和y1,y2,...,yn)确定之。
为此构造 Q(a,b)=Σ(i=1->n)[yi-(axi+b)]^2 (2),
使Q(a,b)取最小值的a,b为所求。
令: ∂Q/∂a= 2Σ(i=1->n)[yi-(axi+b)](-xi)= 0 (3),
∂Q/∂b= 2Σ(i=1->n)[yi-(axi+b)] = 0 (4),
根据(3)、(4)解出a ,b就确定了回归方程(1):
a Σ (Xi)² + b Σ Xi = Σ Xi Yi (5);
a Σ Xi + b n = Σ Yi (6);
由(5)(6)解出a,b便是。//这一步就省略了。
拓展阅读:线性回归方程的分析方法
分析按照自变量和因变量之间的关系类型,可分为线性回归分析和非线性回归分析。如果在回归分析中,只包括一个自变量和一个因变量,且二者的关系可用一条直线近似表示,这种回归分析称为一元线性回归分析。如果回归分析中包括两个或两个以上的自变量,且因变量和自变量之间是线性关系,则称为多元线性回归分析。
线性回归方程的例题求解
用最小二乘法估计参数b,设服从正态分布,分别求对a、b的偏导数并令它们等于零,得方程组解得。
其中,且为观测值的样本方差.线性方程称为关于的线性回归方程,称为回归系数,对应的直线称为回归直线.顺便指出,将来还需用到,其中为观测值的样本方差。
先求x,y的平均值。
利用公式求解:b=把x,y的平均数带入a=y-bx。
求出a=是总的公式y=bx+a线性回归方程y=bx+a过定点。
(x为xi的平均数,y为yi的平均数)。
...
余弦定理公式是高中数学重点公式之一,那么余弦定理公式推导过程是什么呢?下面是由出国留学网小编为大家整理的“ 余弦定理公式推导过程”,仅供参考,欢迎大家阅读。
余弦定理公式推导过程
在任意△ABC中
做AD⊥BC.
∠C所对的边为c,∠B所对的边为b,∠A所对的边为a
则有BD=cosB*c,AD=sinB*c,DC=BC-BD=a-cosB*c
根据勾股定理可得:
AC2=AD2+DC2
b2=(sinBc)2+(a-cosBc)2,
b2=(sinB*c)2+a2-2accosB+(cosB)2c2,
b2=(sinB2+cosB2)c2-2accosB+a2,
b2=c2+a2-2accosB,
cosB=(c2+a2-b2)/2ac。
拓展阅读:余弦定理的定义和常见变形
1.余弦定理
三角形中任何一边的平方,等于其他两边平方的和减去这两边与它们夹角的余弦的积的两倍。即a2=a2=b2+b2+c2−c2−2bccosA2bccosA,b2=b2=c2+c2+a2−a2−2cacosB2cacosB,c2=c2=a2+a2+b2−b2−2abcosC2abcosC,
2.余弦定理的常见变形
(1)cosA=b2+c2−a22bccosA=b2+c2−a22bc;
(2)cosB=a2+c2−b22accosB=a2+c2−b22ac;
(3)cosC=a2+b2−c22abcosC=a2+b2−c22ab。
3.利用余弦定理可以解决的问题
(1)已知三边,求各角;
(2)已知两边和他们的夹角,求第三边和其他两个角;
(3)已知两边和其中一边的对角,求其他角和边。
...公式推导过程推荐访问