出国留学网专题频道成人高考高数知识点栏目,提供与成人高考高数知识点相关的所有资讯,希望我们所做的能让您感到满意!
出国留学网成人高考栏目为大家带来“成人高考2017专升本高数复习重点”,大家要做好复习计划,一步一个脚印来,祝大家都能取得优异的成绩,希望此文能让大家有所收获。

成人高考考试栏目为你推荐:
2017年成人高考复习方法整理 ...
出国留学网成人高考栏目为大家带来“成人高考2017专升本高数考试重点”,大家要做好复习计划,一步一个脚印来,祝大家都能取得优异的成绩,希望此文能让大家有所收获。

成人高考考试栏目为你推荐:
...
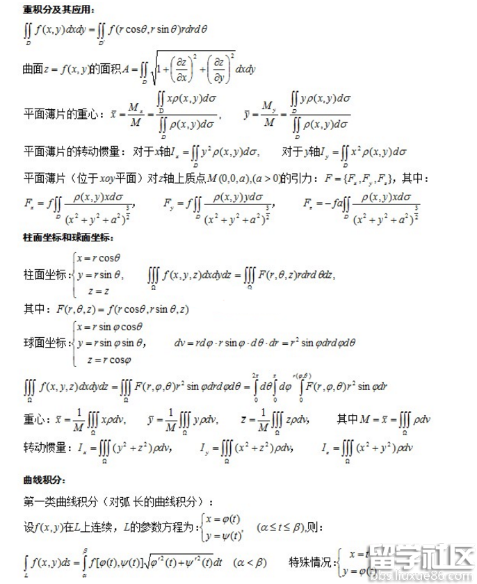
出国留学网成人高考栏目为大家带来“2017成人高考专升本高数重难点公式”,大家要做好复习计划,一步一个脚印来,祝大家都能取得优异的成绩,希望此文能让大家有所收获。

成人高考考试栏目为你推荐:
...
出国留学网成人高考栏目为大家带来“2017成人高考专升本高数考试必备重点”,大家要做好复习计划,一步一个脚印来,祝大家都能取得优异的成绩,希望此文能让大家有所收获。

成人高考考试栏目为你推荐:
2017年成人高考考试时间安排 ...
出国留学网成人高考栏目为大家带来“2017成人高考专升本高数常考基本公式”,大家要做好复习计划,一步一个脚印来,祝大家都能取得优异的成绩,希望此文能让大家有所收获。

成人高考考试栏目为你推荐:
2017年成人高考复习方法整理 ...
准备参加2017年成人高考的小伙伴们要开始准备备考了,好的准备才能得到好的结果,大家都要加油哦!出国留学网成人高考栏目为大家带来“成人高考2017年高数基本知识点:导数与微分”,希望大家能有所收获。
第二讲 导数、微分及其应用
一、理论要求

二、题型与解法

成人高考高数知识点推荐访问