出国留学网专题频道考研高等数学考前冲刺知识点栏目,提供与考研高等数学考前冲刺知识点相关的所有资讯,希望我们所做的能让您感到满意!
12-03
2023年度的硕士研究生考试时间马上就要到了,为了帮助各位考生更好的备考考研数学,出国留学网小编为大家准备了“2023年考研高等数学考前冲刺知识点”,可供各位考生参考。更多考试相关信息请继续关注本网站。
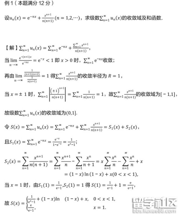
幂级数的常考题型:
现对幂级数的常考题型做如下整理:展开求和主要包括三种形式:
1、系数为有理函数;
2、系数中含有阶乘;
3、抽象型级数。
其中出题频次相对较高的是第一种。接下来我们就以往年考研试题为例,学习幂级数的基本解题思想:

浅析利用极坐标计算二重积分:

极值点、拐点求解技巧:
通过对历年考研考试题目的研究,基本题目均是已知导函数图形,判定函数的极值点与拐点个数。结合极值点的求解过程,我们可以总结出图形题的解题思路:
(1)找驻点及不可导点。即y’图像中与x轴的交点,以及图像中的无定义点。
(2)再用第一充分判定。即判定某点左右两侧y’的正负,若异号,则为极值点。
同理,若求解拐点,
(1)找y’’=0的点及二阶不可导点。即y’图像中切线水平的点,以及图像中的无定义点与不可导点。
(2)再用第一充分判定。即判定某点左右两侧y’的单调性,若相反,则为拐点。
高数考点变化及重难点分析:
一、极限的概念、性质及计算
重点:(1)函数极限的计算:七种未定式的计算,四则运算、等价无穷小替换、洛必达法则、泰勒公式、对数恒等式、单侧极限等方法的使用;(2)数列极限的计算:直接计算、夹逼准则、定积分定义、单调有界收敛准则。
难点:(1)数列极限中利用夹逼准则和定积分定义求和式极限;利用单调有界收敛准则证明数列极限存在;(2)极限性质和收敛性的讨论。
二、极限的应用
重点:(1)连续的定义和判断间断点; (2)求曲线的水平、铅直和斜渐近线;(3)导数的定义与微分(4)讨论多元函数的极限、连续性、偏导性和可微性及其相互关系。
难点:分段函数和抽象函数可导性的讨论;多元函数可微性...
考研高等数学考前冲刺知识点推荐访问