出国留学网专题频道不定方程栏目,提供与不定方程相关的所有资讯,希望我们所做的能让您感到满意!
11-19
任何考试想要成功都离不开点点滴滴的积累,下面由出国留学网小编为你精心准备了“行测数量关系解题技巧:解不定方程”,持续关注本站将可以持续获取更多的考试资讯!
题型介绍 1.不定方程定义:未知数的个数多于独立方程的个数(例:2x+3y=21,未知数个数2多于方程的个数1)
2.解不定方程:常见的有两个范围(正整数范围内即不定方程;任意范围内即解不定方程组);无论哪种情况其核心都为带入排除。
例:已知2x+3y=21,且x、y均为正整数,求x=()
A.1 B.2 C.3 D.4
若想求解其原则为带入选项选择符合等式即题干限制条件的答案,但在考试中若四个选项依次带入的话会浪费时间,所以有些解题技巧可以帮助快速排除选项;因此其解题核心为带入排除。
解题技巧 (一)正整数范围内1.整除:若某未知数系数与常数项存在公约数则可以用整除排除选项
例:已知2x+3y=21,且x、y均为正整数,求x=()
A.1 B.2 C.3 D.4
【解析】若想求x则需将等式中的y消除,其中常数项21与y前的系数3有公约数3则观察等式,一个能被3整除的数3y加上某数其和21也能被3整除,则某数2x也要能被3整除,因为2不能被3整除所以只能是x能被3整除,因此观察选项,选C。
2.奇偶性:未知数前系数为一奇一偶的情况可以用奇偶性排除选项
3.尾数法:某未知数前系数的位数为0或5的情况可以用尾数法排除选项
例:(奇偶性+尾数法)已知4x+5y=31;且x、y均为正整数,求x=()
A.1 B.2 C.3 D.4
【解析】观察等式,未知数前系数一奇一偶的情况,根据奇偶性4一定为偶数加上某数其和31为奇数则某数5y一定为奇数;y前系数为5则根据尾数法5y尾数为0或5,且5y为奇数的话则其尾数只能是5,则5y的尾数5加上某数的尾数的和是31的尾数1,那么某数4x尾数只能是6,观察选项,能使4x尾数是6的只有D项4,所以选D。
(二)任意范围内特值法:求解不定方程组中相关式子的值;令其中某未知数为0。

A.9 B.10 C.11 D.12
【解析】未知数的个数3个多于独立方程的个数两个,所以求解不定方程组,且求解的是x+y+z式子的结果,所以可以用特值法解不定方程组。因为答案唯一且确定,所以三个未知数具体值为多少都对最终答案x+y+z的和无影响,所以可令其中某个未知数为0;令y为0则

解方程组,下式减上式得x=11,带入上式则z=-1,所以x+y+z=11+0-1=10,...
想要让考试的答题更加准确掌握答题技巧非常重要,下面由出国留学网小编为你准备了“行测答题技巧:不定方程固定解法”,仅供参考,持续关注本站将可以持续获取更多的内容资讯!
说起方程法大家都不陌生,从小到大它是我们解决数学问题的得力小助手,同时设未知数的思想也影响着我们为人处事。但是你知道在公职类考试中我们还有不定方程么。接下来小编就和大家一起来看看不定方程。
首先我们来了解一下什么叫做不定方程。所谓不定方程,即未知数的个数多于独立方程个数。常规的方法很难求解,因此我们需要重点关注未知数受到某些限制,这些限制主要是要求所求未知数是正整数、质数等,这些要求有的时候在题目中明确已知,有的时候隐含在方程中,有时候隐藏在题目中。所以求解不定方程关键就是先找到等量关系列出方程,另外就是找到所求量的限制条件。下面就结合几道题来详细解释不定方程组的求解吧。
例1、装某种产品的盒子有大、小两种,大盒每盒能装11个,小盒每盒能装8个,要把89个产品装入盒内,要求每个盒子都恰好装满,需要大、小盒子各多少个( )?
A. 3,7 B. 4,6 C. 5,4 D. 6,3
【答案】A。解析:设大、小盒子的个数各为x,y。则有,11x+8y=89。有且仅有这样一个方程,而这一个方程就是不定方程,由不定方程的性质我们可以知道,其解得个数可以是无限多的,但是由于这里盒子的个数应该是整数,故其解应该是比较确定的值,但是依然无法直接求解,故此类不定方程我们采用带入排除的方式进行解题。答案只有A满足。故选择A。
例2.超市将99个苹果装进两种包装盒,大包装盒每个装12个苹果,小包装盒每个装5个苹果,共用了十多个盒子刚好装完。问两种包装盒相差多少个?( )
A.3 B.4 C.7 D.13
【答案】D。解析:设大盒有x个,小盒有y个,则可得12x+5y=99。因为12x是偶数,99是奇数,所以5y是奇数,则y必须是奇数,则5y的尾数是5,可得12x的尾数是4,则可得x=2或者x=7。当x=2时,y=15,符合题意,此时y-x=13;当x=7时,y=3,x+y=10,不满足共用十多个盒子,排除。故正确答案为D。故选择D。
大家都知道行测时间紧任务重,所以行测一直被大家称为不可能完成的任务。在这其中,数量关系又因为难度最高,常常被广大考生放弃。大家在做题的时候讲究策略、有所取舍,努力实现时间利益的最大化固然是应当被提倡的,但不做区分的完全舍弃也并非明智之举。那么,怎么做是比较合理的呢?小编来帮大家分析。
为了更高效利用考场当中有限的时间,建议对于数量关系来说,诸位考生可以挑选一些难度低或计算简单的题目来做。毕竟数量关系的分值是很高的,有选择的快速挑一些题并做对会使得自己处于更有竞争力的有利境地。下面为大家提供一些排列组合的题目。
例1、某市至旱季水源不足,自来水公司计划在下周七天内选择两天停止供水,若要求停水的两天不相连,则自来水公司共有( )种停水方案。
A、21 B、19 C、15 D、6
【答案】C...
还在为了不知道备考知识点而烦恼,还在为了面对题目没有解答思路而懊恼?不用找了!看这里,下面由出国留学网小编为你精心准备了“行测数量关系技巧:行之有效,测之有技之不定方程”,持续关注本站将可以持续获取更多的考试资讯!
方程法作为数量关系解题中最常用的一种方法,对于大部分的考生来说,并不陌生,例如一元一次方程或者二元一次方程,这样的方程相信大家都可以解出来,但是还有一类大家比较苦恼的方程,那就是不定方程。那不定方程怎么求解呢?小编今天带大家一块学一学不定方程的求解方法。
一、什么是不定方程
未知数的个数大于独立方程个数的等式,称为不定方程。
二、不定方程求解方法
1.奇偶性
当方程中未知数的系数一奇一偶时,可利用奇偶性求解。
奇数+奇数=偶数;奇数+偶数=奇数;偶数+偶数=偶数;
奇数×奇数=奇数;奇数×偶数=偶数;偶数×偶数=偶数
例1.已知7x+4y=29,x、y为正整数,则x为( )。
A.5 B.4 C.2 D.6
【解析】A。4y为偶数,29为奇数,所以7x一定为奇数,所以x为奇数,故选择A选项。
2.整除法
当方程中的常数与其中一个未知数前系数有非1的公约数时,可以利用整除法求解。
例2.已知3x+7y=33,x,y均为正整数,则y为( )
A.11 B.10 C.9 D.8
【解析】C。根据题干所给信息,求不定方程中未知数y 的可能性取值,常数33与x前系数3有公约数3,考虑使用整除法。3x与33均为3的倍数,则说明7y一定也是3的倍数,又因为7不是3的倍数,则说明y一定是3的倍数。选项中只有y取9时符合题意,故选择C选项。
3.尾数法
当方程中未知数的系数出现以0或5结尾时,可以考虑尾数法。(一个数乘以尾数为5的数,结果的尾数要么是0要么是5,一个数乘以尾数为0的数,结果的尾数一定是0)
例3.3x+10y=41,且x和y都是整数,那么请问x可能是以下哪个数据?
A.3 B.5 C.7 D.9
【解析】C。根据题干信息,未知数y前系数为10,可以考虑使用尾数法。10y这一部分尾数一定是0,41的尾数是1,那么3x这一部分的尾数一定是1,在所给的四个选项中,只有当x=7时,3×7=21,尾数为1,符合题意,故选择C选项。
不定方程的解是有无数组的,只能确定其中一个未知数的值,另外一个未知数才可以求出来,我们用的解题方法都是根据题目特点去限制未知数的范围,选出符合题意的正确结果。因此在一些题目里也会将多种方法结合在一起去求解。通过下面的例题我们一起学一学:
例4.已知6x+5y=41,x、y为正整数,则x为( )
A.3 B.4 C.5 D.6
【解析】D。6x为偶数,41为奇数,所以5y一定为奇数,所以y为奇数,当y为奇数时,5y尾数为5,41的尾数为1,则6x尾数为6,只有D选项,乘6以后的尾数为6,故选择D选项。...
公务员行测常识判断题一般来说考的几率非常大,但是许多考生还是容易丢分,这可能是平时知识点积累的太少了,下面由出国留学网小编为你精心准备了“行测数量关系技巧:巧解不定方程”,持续关注本站将可以持续获取更多的考试资讯!
在行测考试的数量关系当中,经常会遇到题目中出现等量关系,然后让我们利用题中的等量关系来构建方程进行求解的题目,那么这类等量关系构建的方程我们通常可以分为两类,一类是一般方程,另一类是不定方程。一般方程相信大家已经接触的非常多,求解起来也会比较容易,不定方程对于大家来说就可能接触的比较少,会比较陌生了,那么今天给大家讲解一下,什么是不定方程,它又是如何进行求解的。
首先不定方程就是未知数的个数大于独立方程的个数,比如3x+4y=12,这里有两个未知数,但是只有一个方程,所以这里我们把他叫做不定方程,而且可想而知x、y都是有很多组解符合我们题目的要求的。但是行测考试中都是单选题,那么碰到不定方程,我们是如何求解的呢,下面小编给大家介绍几种常用的方法。
1、 整除法
3x+8y=36,已知x、y为正整数,则y=()?
A、1 B、3 C、5 D、7
【解析】答案:B。这个题目很明显是一个不定方程分题目,但是我们前面说,不定方程应该有无数组解,但是为什么这里只有一组解,可以放在单选题里面,那是因为在题目中有限定,下、y都是正整数,所以这个解就变得有限组解了。那么面对这样的题目我们可以怎么去做呢,第一个大家最容易想到的当然是代入了,将每个选项代入看答案是否合适,这样当然可以,但是我们会发现比较浪费时间,所以我们有了第二种方法我们通过观察这个式子,会发现系数3和常数项36都是3的倍数,那么我们可以知道8y也应该是3的倍数,8不是3的整数倍,那么必然就应该是3的倍数结合选项可知,只有B选项才是符合条件的。这个方法我们叫做整除法,当未知数系数跟常数项有公约数就可以使用。
2、 尾数法或奇偶性
4x+5y=23,已知x、y为正整数,求x
A、1 B、2 C、3 D、4
【解析】那么这道题目我们会发现前面说过的整除法就不适用了,那么这里我们可以使用什么方法呢,还是首先观察系数跟常数项,我们会发现系数有5,那么5y肯定是一个以0或5结尾的数,又因为23是一个奇数,4x是一个偶数,所以5y肯定是一个奇数,一定是5结尾,那么4x肯定要是8结尾才能加成3结尾的数,所以这个题目选B。
利润问题一直是行测数量关系考察的重点,面对这一类问题,我们要了解相关考点及公式,同时要熟练掌握并运用对应解题方法。小编在此进行指点。
利润问题的核心公式有:
1利润=售价-成本
2利润率=利润/成本
3售价=成本×(1+利润率)
4打折=折后售价/折前售价
对于一般利润问题,我们会发现题干中都会存在一些明显的等量关系,因此通过这些等量关系列方程解题是利润问题解题的关键。
例1....
在考场上人与人拉开差距的除了平常的知识点的积累,还有面对考试题型能够有一个更好的解答思路,下面由出国留学网小编为你精心准备了“行测数量关系技巧:求解二元一次不定方程之三看法”,持续关注本站将可以持续获取更多的考试资讯!
行测数量关系技巧:求解二元一次不定方程之三看法
在行测备考过程中,行测理科数量关系里对应的计算问题、行程问题、利润问题、工程问题、年龄问题等,几乎一次考试中的大部分数量关系的题目都可以用方程法去完成。若是找到等量关系,设好未知数,方程列出来,就算不会解,我们也可以将选项带入排除,从而找到那个唯一的正确选项。普通方程对于我们的考生而言,是很容易解的,但解不定方程,有些学员就有点迷糊了。在这里给大家介绍二元一次不定方程的解法——三看法,熟练操作几次,相信你再也不怕不定方程了。
一、认识不定方程
1.方程
含有未知数的等式,叫方程。例如:
2.不定方程
未知数的个数超过独立方程的个数,这样的方程叫不定方程。(独立方程,简言之就是这个方程能否由其他方程线性组合得到,如果能,则不是独立方程,如果不能,则是独立方程。)例如:
这个方程也叫二元一次不定方程,因为它未知数的个数有两个,且未知数的次数都是1,这样的方程是我们现在研究的重点。

这样的方程都叫做不定方程。
3.不定方程的解
能够让方程左右两边相等的未知数的值叫做方程的解。在这里,主要介绍数量关系中最常见的二元一次不定方程的解的求法。例如:

可见,在实数范围里,这样的不定方程的解有无数组。但是在数量关系的应用题当中,我们借助不定方程去解一些应用题的时候,往往是在正整数范围里去解方程。在正整数里去解这样的二元一次方程,它的解往往只有一个或者有限个解。
二、求不定方程的解
1.求解方法
案例一:在正整数范围里去求解这个方程:
09-30
公务员行测考试主要是考量大家的数学推理能力和逻辑分析能力,下面由出国留学网小编为你精心准备了“行测技巧:数量关系不定方程的3种常见解法”,持续关注本站将可以持续获取更多的考试资讯!
行测技巧:数量关系不定方程的3种常见解法
对于行测考试,很多考生采取的策略都是放弃数量关系。从考场做题的题量和时间来看,很多同学确实做不完。但是,适当的放弃并不是说放弃某个部分所有的题目。从近几年的考试来看,每个部分里面都有比较难的题目。言语有些题目会在两个选项纠结;判断推理有朴素逻辑;图形推理看不出规律,资料分析计算量特别大等等。对于这些题目,各位考生不要觉得是语言类题目,放弃比较可惜,一直纠结于这一道题目。那么会得不偿失,这些题目其实完全是可以放弃的。而数量关系中也有相当一部分的题目比较简单,是可以掌握以及得分的。这只需要考生掌握基本的解题技巧就行。不定方程就是这一类题目。今天带领大家学习一下不定方程以及其解法。
首先,大家要知道什么是不定方程,不定方程是未知数个数大于独立方程个数。比如说X+2Y=10这个方程有无数组解,但是在行测中,对于未知数往往会限定为正整数。那么就会大大缩减解的数量。下面来介绍一些常见的解法。
一、整除法:未知数系数和常数存在公因数
例1:已知3x+7y=36,x、y分别为正整数,求y=?
A、1 B、2 C、3 D、4
【解析】答案:C。观察3x和36都能被3整除。由整数的特性可知7y一定也能被3整除。因此y一定能被3整除。直接锁定C。
二、奇偶特性:系数一奇一偶
例题2:办公室工作人员使用红、蓝两种颜色的文件袋装29份相同的文件。每个红色文件袋可以装7份文件,每个蓝色文件袋可以装4份文件。要使每个文件袋都恰好装满,需要红色、蓝色文件袋的数量共有多少个?
A、2 B、3 C、4 D、5
【解析】答案:D。设红色文件袋为x个,设蓝色文件袋为y个,则可得到方程7x+4y=29。已知偶数乘任一数都是偶数可知4y一定是偶数。由奇+偶=奇可知7x一定为奇数。因此x一定为奇数。将x=1,3,5....依次带入可知x=3,y=2。x+y=5。选择D。
三、尾数法:利用末尾0或5的数字位数特性
例3:超市将99个苹果装进两种包装盒,大包装盒每个装12个苹果,小包装盒每个装5个苹果,共用了十多个盒子刚好装完。问两种包装盒相差多少个?
A、3 B、4 C、7 D、13
【解析】答案:D。设大包装盒的个数为x,小包装盒为y,可得到12x+5y=99,由题意可知x+y>10。由整数的性质可知5y尾数只能是0、5,和为99。则对应的12x的尾数只能是9、4,2相乘尾数不可能是9,所以12x尾数只能是4。可知x尾数一定是2或者7。又因为和为99,x小于10。所以x只能为2或者7。x=2时,y=15,x+y=17,满足题意。15-2=13;当x=7,y=3,x+y=10,不满足题意,选择D。
对于不定方程的题目,运用整除、奇偶特性以及尾数法可以快速求解。只需要大家记住每种方法的应用情形就行。
任何一场考试取得成功都离不开每日点点滴滴的积累,下面由出国留学网小编为你精心准备了“行测数量关系技巧:不定方程”,持续关注本站将可以持续获取更多的考试资讯!
行测数量关系技巧:不定方程
公职类考试行测试卷中数量关系部分近几年考察题目类型较多。对于题型较多且杂找到对应的解题方法至关重要。方程的面孔在近几年公职类考试中频频出现,特别是不定方程。不定方程无任何限制可能会有多组解,甚至无数组解,但公考题目都是单选题,因此符合题意的解是唯一的。在考试过程中,大多数考生只能列出方程,但却对于如何去解无从下手,下面就具体介绍一下几种常用关于不定方程的解题方法帮助考生学习。
一、概念
未知数的个数大于独立方程的个数。比如7x+8y=111,典型的不定方程。
二、解法
1、整除法
当等式后边的常数项与前边某一未知数系数有相同整除特性(有公共因数)考虑用整除法。
例1:幼儿园向小朋友发放小红花,其中表现优秀的小朋友每人发6朵小红花,表现良好的小朋友每人发1朵小红花,获花的所有小朋友一共获得18朵小红花,已知表现优秀、良好的小朋友都有,问可能有多少小朋友表现良好?
A.5 B. 6 C.7 D.8
解析:B。设表现优秀的小朋友人数为x,表现良好的人数y,x>0,y>0。根据题意有:6x+y=18,一个独立方程两个未知数为不定方程,观察等式后边常数项与前边未知数x的系数6有公共的因数6,既都能被6整除,因此y一定能被6整除,结合选项排除A、C和D选项,选择B项。
注意:以找最大公约数为准。
2、奇偶法
未知数系数中出现偶数考虑用奇偶法。
注:奇数±奇数=偶数±偶数=偶数,奇数±偶数=奇数
例2:装某种产品的盒子有大、小两种,大盒每盒装11个,小盒每盒装8个,要把89个产品装入盒中,要求每个盒子都恰好装满,需要大、小盒子各多少个?
A.3、7 B. 4、6 C.5、4 D.6、3
解析:A。设大盒个数为x,小盒个数为y,x>0,y>0。根据题意有:11x+8y=89,一个独立方程两个未知数为不定方程,观察等式,未知数y的系数8是偶数,8y一定是偶数,常数项89是奇数,所以11x一定是奇数,x一定是奇数,排除B、D选项。带入选项A符合题意。验证D项,把x=6,y=3带入方程11×6+8×3=90不符合题意,错误。正确选项为A。
3、尾数法
当未知数系数中出现以0或5结尾的数字考虑用尾数法。
例3:某单位向希望工程捐款,其中部门领导每人捐50元,普通员工每人捐20元,某部门所有人员共捐款320元,已知该部门总人数超过10人,问该部门可能有几名部门领导?
A.1 B. 2 C.3 D.4
解析:B。设领导人数为x,员工的人数y,x>0,y>0。根据题意有:50x+20y=320,整理有:5x+2y=32,一个独立方程两个未知数为不定方程,未知数x的系数出现以5结尾的系数,5x的尾数为0或者5,结合奇偶性确定5x的尾数为0,x的尾数为0或者2,结合选项排除A、C和D,选择B...
在考场上人与人拉开差距的除了平常的知识点的积累,还有面对考试题型能够有一个更好的解答思路,下面由出国留学网小编为你精心准备了“行测技巧:快速解不定方程”,持续关注本站将可以持续获取更多的考试资讯!
行测技巧:快速解不定方程
方程可以说是解决数学问题的“万精油”,不管是国考省考市考,还是事业单位特殊岗位,行测考试中方程出现的频率可谓是越来越高,很多同学对于方程也是又爱又恨,最头疼的问题是莫过于能列出方程,却解不出来。接下来就教大家快速解一类特殊的方程——不定方程。
首先我们看这样一个式子:2x+3y=10,类似这样未知数的个数大于独立方程得个数的方程就叫做不定方程了,那这类式子按道理应该是无数组解,为什么可以快速解出答案呢?这就要说明一下我们这里的解是在正整数的范围内求解,因为一般这样的解会有一个限定条件,比如人的个数,汽车的辆数,羊的头数,他们都是一个正整数,所以我们才可以快速解出答案。
方法一:整除法
秒解特征:未知数的系数与常数项有公约数
【例题1】:3x+7y=56,x和均为正整数,x为()
A、5 B、6 C、7 D、8
【解析】C,通过观察发现,7y 和56都可以被7整除,所以3x也可以被7整除,然而3不能被7整除,所以x一定可以被7整除,所以选择答案C。
方法二:奇偶性
秒解特征:未知数的系数一奇一偶
【例题2】:3x+4y=23,x,y均为正整数,x为()
A、2 B、 5 C、6 D、7
【解析】B,通过观察发现,4y是一个偶数,23是一个奇数,所以3x一定是一个奇数,所以x一定为奇数,排除A,C答案,代入B答案,此时y=2,符合题意,所以选择答案B。
方法三:特值法
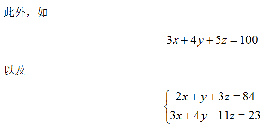
秒解特征:求解不定式方程组中表达式的值

【解析】B,题干中最后求解x+y+z为一个定值,所以前面的x,y,z的取值都不会对后面的结果产生影响,所以我们取z=0,则可以得到x=50,y=50,所以x+y+z=100。
总的来说,解决不定方程的难度不大,要想快速解决问题,只需要找到题干中的特征,运用相对应的办法,就可以快速得出答案!
推荐阅读:
行测数量的运算一直是行测考试的重点题型,下面由出国留学网小编为你精心准备了“行测数量关系:不定方程的解题思路”,持续关注本站将可以持续获取更多的考试资讯!
行测数量关系:不定方程的解题思路
在我们数量关系中,同样你如果集齐五福,你就可以快速解决不定方程,让我们离上岸更近一步,那么接下来就带大家看一下到底需要集齐哪五福。
一、奇偶福
当未知数系数前出现偶数时。
例如不定方程3X+4Y=47(X,Y为正整数),47是一个奇数,4Y一定是一个偶数,所以3X一定是个奇数,那么X的值也一定是一个奇数,取X=1,3,5......
二、尾数福
当看到未知数系数以0或5结尾的数,则用尾数法。
例如不定方程5X+3Y=45(X,Y为正整数),5X尾数为0或5,45尾数为5,所以3Y的尾数为0或5,而3Y不可能尾数为0,所以3Y的尾数一定是5,Y取5,15....
例1:现有149个同样大小的苹果往大、小两个袋子装,已知大袋每袋装17个苹果,小袋每袋装10个苹果。每个袋子都必须装满,则需要大袋子的个数是?
A.5 B.6 C.7 D.8
【解析】答案:C。设大袋子X个,小袋子Y个,则17X+10Y=149,10Y的尾数为0,149尾数为9,则17尾数一定为9,所以X=7,选C。
三、整除福
当未知数系数与常数有公约数时。
例如不定方程7X+4Y=56(X,Y为正整数),7和56有都能被7整除,所以4Y也一定能被7整除,所以Y取7,14,21.....
四、特值福
仅运用在不定方程组中,且让我们求所有未知数之和。不定方程组有无穷组解。而我们只需求未知数之和。也就意味着未知数之和是确定的。所以此时我们只需求出中的某一组求和就能得到答案。
例2:甲、乙、丙三种货物,如果购买甲3件、乙7件、丙1件需花3.15元,如果购买甲4件、乙10件、丙1件需花4.2元,那么购买甲、乙、丙各1件需花多少钱?
A.1.05 B.1.4 C.185 D.2.1
【解析】答案:A。设甲、乙、丙各买一件需要X、Y、Z元,则3X+7Y+Z=3.15,4X+10Y+Z=4.2,令Y=0,3X+Z=3.15,4X+Z=4.2,两式相减得到X=1.05,Z=0,Y=0,所以X+Y+Z=1.05。
五、排除带入福
直接将选项代入题目,看哪个选项符合题目的要求。
例3:射箭运动员进行训练,10支箭共打了93环,且每支箭的环数都不低于8环。问命中10环的箭数有几支?( )
A.2 B.3 C.4 D.5
【解析】答案:B。设命中9环X支,命中10环Y支,得到9X+10Y=93,将Y=2,3,4,5代入不定方程,只有Y=3符合。
推荐阅读:
公务员行测考试主要是考量大家的数学推理能力和逻辑分析能力,下面由出国留学网小编为你精心准备了“行测数量关系:不定方程大胆设”,持续关注本站将可以持续获取更多的考试资讯!
行测数量关系:不定方程大胆设
方程法是我们从小就熟悉的一种数学方法,通过设未知数列方程解方程得到答案。我们解题过程中通常所设的方程式是普通方程,也就是未知数个数等于独立方程个数,比如3x+8=17,这个方程就是一个未知数对应一个方程,为普通方程。小编发现,除了普通方程之外,还有一种方程叫不定方程,不定方程是未知数个数大于独立方程个数,比如2x+5y=18,这个方程中两个未知数但是只有一个独立方程。同学们可能会有疑虑,未知数个数大于方程个数如何去解方程。不定方程的确会产生无数组解,但是未知数如果具有现实背景意义,就可以约束未知数为正整数,再结合题目的一些其他要求,方程就存在唯一解。
不定方程在题目的背景下存在唯一解,也需要一定的技巧进行求解,包括:利用消元法、奇偶性求解,尾数法求解和代入法求解等,下面通过几道例题进行展示。
例1:幼儿园小朋友用红、绿两种颜色的篮子装29个相同的足球。每个红色篮子装7个足球,每个绿色篮子装4个足球。要是篮子恰好装满,需要红色篮子多少个?
A 3 B 2 C 1 D 4
【解析】根据题目存在的等量关系,“红绿篮子中装的足球数共29个”,而未知数有两个,分别是红色篮子数和绿色篮子数,不妨设红色篮子数为x,绿色篮子数位y,可得方程7x+4y=29,对方程进行分析,29是个奇数,而4y一定是个偶数,那么要求7x一定是奇数,也就是x为奇数。取值x=1,y不是整数;取值x=3,y=2满足要求;取值x=5,7×5=35大于29不符合要求,因此x不可以继续往大取值,最后x=3,答案选择A选项。另外也可以通过代入选项确定答案为A选项。
例2:若买6个订书机、4个计算器和6个文件夹共需504元,买3个订书机、1个计算器和3个文件夹共需207元,则购买订书机、计算器和文件夹各一个所需费用为()元
A 93 B 95 C 97 D 99
【解析】根据题目发现两个等量关系,但是订书机、计算器和文件夹的单价都是未知数,分别设为x、y、z,可得方程①:6x+4y+6z=504,方程②:3x+y+3z=207。问题是求订书机、计算器和文件夹各一个的费用也就是x+y+z的值,为得到x+y+z可以通过方程①和方程②的变换求得。将①-②得到3x+3y+3z=297,则x+y+z=99,答案选择D选项。通过凑方程的方式可以进行求解,另外还有一种解法。由于这是一个单选题,则x+y+z是一个定值,而其中的x、y、z又有无数组解,因此可以令其中某一个未知数为零进行求解,再将所得解相加也能得到答案。比如令x=0,则得到4y+6z=504和y+3z=207,解得y=45,z=54,可得x+y+z=99。
推荐阅读:
不定方程推荐访问