出国留学网专题频道考研高等数学栏目,提供与考研高等数学相关的所有资讯,希望我们所做的能让您感到满意!
08-31
考研高等数学对于考研数学这门科目是很重要的,那考生要如何准备复习呢?下面由出国留学网小编为你精心准备了“2021年考研高等数学复习建议”,持续关注本站将可以持续获取更多的考试资讯!
2021年考研高等数学复习建议
一、考研高等数学复习目标及资料选择
数学备考一定要有一个复习时间表,也就是要有一个周密可行的计划。按照计划,循序渐进,切忌搞突击,临时抱佛脚。高数这门课在数学一和数学三中占56%,在数学二中比例高达78%,因此高数在考研中的重要性是不言而喻的,那么在现阶阶段我们又该做些什么呢?
建议大家在现阶段复习高数的重点集中在函数、极限和连续这两个模块。高等数学部分的主体由函数、极限和连续、一元函数的微积分、多元函数的微积分、微分方程和级数五大模块构成(数学一、二、三在各个模块的要求有一定差异),从历年的试题中,高等数学的考查重点和难点更多的集中在前两个模块,他们既是考试的重点,也是学好后面模块的基础。
此外,这一阶段复习以教材为主,建议考生使用同济版高等数学当教材习题对你而言没有太大困难的时候,可以参考一本基础阶段的考研辅导讲义,比较推荐的是国家行政学院出版社出版的复习全书。
二、理解概念掌握定理
数学中有很多概念。概念反映的是事物的本质,弄清楚了它是如何定义的、有什么性质,才能真正地理解一个概念。所有的问题都在理解的基础上才能做好。这里专 家提出几个易混淆的概念,建议同学们在复习的时候要特别注意:连续,可导,存在原函数,可积,可微,偏导数存在他们之间的关系式怎么样的?存在极限,导函数连续,左连续,右连续,左极限,右极限,左导数,右导数,导函数的左极限,导函数的右极限。 定理是一个正确的命题,分为条件和结论两部分。对于定理除了要掌握它的条件和结论以外,还要搞清它的适用范围,做到有的放矢。
三、教材习题要做熟
特别提醒2016的考生,课本上的例题都是很典型的,有助于理解概念和掌握定理,要注意不同例题的特点和解法在理解例题的基础上作适量的习题。作题时要善于总结–;–;不仅总结方法,也要总结错误。这样,作完之后才会有所收获,才能举一反三。
考研高数中蕴含着三大运算:求极限、求导数和求不定积分,它们是贯穿于整个高等数学的灵魂,因此建议大家在在基础阶段集中训练这三种运算,尤其是不定积分和求极限,它们的难度比较大。对这三种运算的熟练程度直接决定了你的考研高数部分的得分。
四、从宏观上理清脉络
一定要对所学的知识有个整体的把握,及时总结知识体系,这样不仅可以加深对知识的理解,还会对进一步的学习有所帮助。
推荐阅读:
出国留学网考研网为大家提供从概念、理论、方法角度说明考研高等数学如何复习,更多考研资讯请关注我们网站的更新!
从概念、理论、方法角度说明考研高等数学如何复习
首先是基本概念(理解的程度);然后是基本理论(熟悉的程度);最后是基本方法(扩展的程度)。
1.基本概念(理解的程度)
在这里强调一下,因为是具体的辅导,所以是针对微观的怎么学习进行指导,至于说心态等其它的问题大家可以参照我前面分享的观点。考生一般来说在基本概念方面还是有所了解的。但是我这里强调的是理解的程度。我举个例子。在一元函数微分学的应用中,极值是非常重要的概念。那么,考生在复习的时候就不仅仅要知道极值说的是什么,更要清楚极值有什么注意点以及考点。这里,注意点和考点就是所谓的理解程度。
2.基本理论(熟悉的程度)
这里说的基本理论,主要指的是中值定理相关的一些理论。首先是极限的保号性和闭区间上连续函数的性质;然后是微分中值定理:费马引理,三大中值定理,泰勒中值定理;最后是积分中值定理和变限积分求导定理。在这里,我把相关理论进行了综合。我希望考生对中值定理进行理解的时候,不要单独的去理解,应该综合起来形成一个体系的去理解。这样就上升了一个高度。同时,对这个体系提到的每一个定理,大家都需要去证明,这样才能够理解的更加透彻,才能达到我说的熟悉的程度,在后面做相关的证明题的时候就能更加得心应手。
3.基本方法(扩展的程度)
对考生来说,基本方法还是相对比较熟练的。那么,向喆老师希望大家能对基本方法进行扩展。举个例子。极限的计算是必考的内容。基本的方法有四则运算,等价无穷小替代,洛比达法则,两个重要极限,单侧极限,夹逼定理,单调有界。那么对考生来说,你们除了要知道这基本的7个方法之外,还要做如下的工作。
首先,要知道洛必达法则在使用前一般都用了等价无穷小替代进行化简。然后,要清楚夹逼定理一般喜欢跟定积分定义结合用。最后,要知道导数的定义,泰勒公式,级数收敛的必要条件,微分中值定理都能用来求极限。我想大家如果能扩展到这三步,极限计算问题才算真正的搞清楚。大家就能够大声说,无论考试考那种极限计算方法,我都会做。其它知识的基本方法都可以参照极限计算来进行扩展。
总之,相信大家只要能够深刻的理解基本概念,熟悉的掌握基本理论,综合的扩展基本方法,那么成功一定属于大家。
小编精心为您推荐:
02-28
出国留学考研网为大家提供2018考研高等数学复习计划,更多考研资讯请关注我们网站的更新!
2018考研高等数学复习计划
一、基础阶段
考研数学考察的是对基础知识的综合运用,所以基础知识尤为重要,很多同学在复习时存在一个误区,认为我把难题做好就行了,难题都会做了,简单的题目就更没有问题了,其实这是错误的,如果基础知识没有掌握牢固,在复习过程中会发现越复习越困难,到复习的后期会发现连简单的问题都不知道如何下手了。这就是基础知识没有掌握牢固的结果。
在这个阶段,也就是从现在开始至六月份,是基础阶段的复习时间,这个阶段以课本和习题为主,这个阶段做题是为了巩固基础知识,不要为了做题而做题。我们考研数学的复习分为几个阶段,首先是打基础,之后是综合运用基础知识解题,最后就是提高熟练度。可想而知,如果大家基础知识没有掌握牢固,那如何综合运用呢?
在这一阶段,考生们不要和其他同学比进度,也不要单纯的追求量,完完整整的看一遍,达到看过的知识都能够熟练掌握的程度,会比我们囫囵吞枣的看三四遍都有用,所以这个阶段不要比进度,争取把每一个知识点都掌握牢固,知道每个定理公式或方法的基本内容、适用条件、易错点等。
二、强化阶段
七月至九月份是强化阶段,强化阶段是对基础知识的综合运用。这个阶段考生们要提高综合解题能力,形成完整的知识体系。考生们这段时间主要是做题,熟练的掌握每个模块要考的题型类型以及每种题型的解题方法。这个阶段考生易犯的错误是眼高手低,觉得自己解题方法掌握了就可以了,对于计算题就放过了,这是不可以的,考研数学要求考生在规定的时间内完成规定的计算量。所以如果计算题都放过那么就更加无法提高计算能力。
三、提高阶段
考生掌握了基本的基础知识和针对每个题型的解题方法,这个阶段就需要做分类的真题。分类解析是让大家短时间内获得每个模块考点、考试题型的一种快捷方式,通过做真题了解自己对每一模块和每一题型的掌握情况,对不是很清楚的部分再继续做这一部分的习题,达到每个模块都掌握牢固,每种题型都有解决的思路。
四、冲刺阶段
最后这个阶段就是做模拟题,模拟考试环境、考试时间和心态,这一阶段考生在做题的时候注意时间,严格按照考研的考试时间来做真题。这个阶段考生易犯的错误特别是到了十二月份,把主要精力都放在了政治和英语上,基本上会一直不看数学,认为数学也就达到上限了,再做题也不会提高很高的分数。诚然这一阶段背政治或者英语能提的分数比较高,但是,长时间不做数学题考生就会发现再做题的时候手生,很多知识点和题型都忘记了,这样我们辛辛苦苦所掌握的知识又还回去了,岂不很可惜。所以考生们一定要坚持做题,稳中求胜。
考研数学频道精心为您推荐:
出国留学网考研网为大家提供考研高等数学:导数解题的5个重点,更多考研资讯请关注我们网站的更新!
考研高等数学:导数解题的5个重点
第一,理解并牢记导数定义。导数定义是考研数学的出题点,大部分以选择题的形式出题,01年数一考一道选题,考查在一点处可导的充要条件,这个并不会直接教材上的导数充要条件,他是变换形式后的,这就需要同学们真正理解导数的定义,要记住几个关键点:
1)在某点的领域范围内。
2)趋近于这一点时极限存在,极限存在就要保证左右极限都存在,这一点至关重要,也是01年数一考查的点,我们要从四个选项中找出表示左导数和右导数都存在且相等的选项。
3)导数定义中一定要出现这一点的函数值,如果已知告诉等于零,那极限表达式中就可以不出现,否就不能推出在这一点可导,请同学们记清楚了。
4)掌握导数定义的不同书写形式。
第二,导数定义相关计算。这里有几种题型:1)已知某点处导数存在,计算极限,这需要掌握导数的广义化形式,还要注意是在这一点处导数存在的前提下,否则是不一定成立的。
第三,导数、可微与连续的关系。函数在一点处可导与可微是等价的,可以推出在这一点处是连续的,反过来则是不成立的,相信这一点大家都很清楚,而我要提醒大家的是可导推连续的逆否命题:函数在一点处不连续,则在一点处不可导。这也常常应用在做题中。
第四,导数的计算。导数的计算可以说在每一年的考研数学中都会涉及到,而且形式不一,考查的方法也不同。
要能很好的掌握不同类型题,首先就需要我们把基本的导数计算弄明白:
1)基本的求导公式。指数函数、对数函数、幂函数、三角函数和反三角函数这些基本的初等函数导数都是需要记住的,这也告诉我们在对函数变形到什么形式的时候就可以直接代公式,也为后面学习不定积分和定积分打基础。
2)求导法则。求导法则这里无非是四则运算,复合函数求导和反函数求导,要求四则运算记住求导公式;复合函数要会写出它的复合过程,按照复合函数的求导法则一次求导就可以了,也是通过这个复合函数求导法则,我们可求出很多函数的导数;反函数求导法则为我们开辟了一条新路,建立函数与其反函数之间的导数关系,从而也使我们得到反三角函数求导公式,这些公式都将要列为基本导数公式,也要很好的理解并掌握反函数的求导思路,在13年数二的考试中相应的考过,请同学们注意。
3)常见考试类型的求导。通常在考研中出现四种类型:幂指函数、隐函数、参数方程和抽象函数。这四种类型的求导方法要熟悉,并且可以解决他们之间的综合题,有时候也会与变现积分求导结合,94年,96年,08年和10年都查了参数方程和变现积分综合的题目。
第五,高阶导数计算。高阶导数的计算在历年考试出现过,比如03年,07年,10年,都以填空题考查的,00年是一道解答题。需要同学们记住几个常见的高阶导数公式,将其他函数都转化成我们这几种常见的函数,代入公式就可以了,也有通过求一阶导数,二阶,三阶的方法来找出他们之间关系的。这里还有一种题型就是结合莱布尼茨公式求高阶导数的,00年出的题目就是考察的这两个知识点。
小编精心为您推荐:
出国留学网考研网为大家提供2017考研高数上册常见定义及典型考题,更多考研资讯请关注我们网站的更新!
2017考研高数上册常见定义及典型考题
一、数列极限
定义:

典型考题:

二、函数极限的定义
定义:

三、导数的定义
定义:


四、不定积分的定义
定义:

五、定积分
定义:


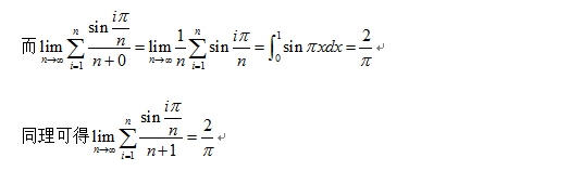
夹逼准则即可得出答案。
这是一道求数列极限的题,1998年数一的考题,求数列极限的方法之一就是用定积分的定义计算,本题就是一道典型题。类似的题,2010年考过一次,这种方法大家还要好好了解一下,对定积分的定义要掌握。
小编精心为您推荐:
...
出国留学网考研网为大家提供2017考研高等数学重点知识:导数部分,更多考研资讯请关注我们网站的更新!
2017考研高等数学重点知识:导数部分
第一,理解并牢记导数定义。
导数定义是考研数学的出题点,大部分以选择题的形式出题,01年数一考一道选题,考查在一点处可导的充要条件,这个并不会直接教材上的导数充要条件,他是变换形式后的,这就需要同学们真正理解导数的定义,要记住几个关键点:
1)在某点的领域范围内。
2)趋近于这一点时极限存在,极限存在就要保证左右极限都存在,这一点至关重要,也是01年数一考查的点,我们要从四个选项中找出表示左导数和右导数都存在且相等的选项。
3)导数定义中一定要出现这一点的函数值,如果已知告诉等于零,那极限表达式中就可以不出现,否就不能推出在这一点可导,请同学们记清楚了。
4)掌握导数定义的不同书写形式。
第二,导数定义相关计算。
这里有几种题型:1)已知某点处导数存在,计算极限,这需要掌握导数的广义化形式,还要注意是在这一点处导数存在的前提下,否则是不一定成立的。
第三,导数、可微与连续的关系。
函数在一点处可导与可微是等价的,可以推出在这一点处是连续的,反过来则是不成立的,相信这一点大家都很清楚,而我要提醒大家的是可导推连续的逆否命题:函数在一点处不连续,则在一点处不可导。这也常常应用在做题中。
第四,导数的计算。
导数的计算可以说在每一年的考研数学中都会涉及到,而且形式不一,考查的方法也不同。要能很好的掌握不同类型题,首先就需要我们把基本的导数计算弄明白:1)基本的求导公式。指数函数、对数函数、幂函数、三角函数和反三角函数这些基本的初等函数导数都是需要记住的,这也告诉我们在对函数变形到什么形式的时候就可以直接代公式,也为后面学习不定积分和定积分打基础。2)求导法则。求导法则这里无非是四则运算,复合函数求导和反函数求导,要求四则运算记住求导公式;复合函数要会写出它的复合过程,按照复合函数的求导法则一次求导就可以了,也是通过这个复合函数求导法则,我们可求出很多函数的导数;反函数求导法则为我们开辟了一条新路,建立函数与其反函数之间的导数关系,从而也使我们得到反三角函数求导公式,这些公式都将要列为基本导数公式,也要很好的理解并掌握反函数的求导思路,在13年数二的考试中相应的考过,请同学们注意。3)常见考试类型的求导。通常在考研中出现四种类型:幂指函数、隐函数、参数方程和抽象函数。这四种类型的求导方法要熟悉,并且可以解决他们之间的综合题,有时候也会与变现积分求导结合,94年,96年,08年和10年都查了参数方程和变现积分综合的题目。
第五,高阶导数计算。
高阶导数的计算在历年考试出现过,比如03年,07年,10年,都以填空题考查的,00年是一道解答题。需要同学们记住几个常见的高阶导数公式,将其他函数都转化成我们这几种常见的函数,代入公式就可以了,也有通过求一阶导数,二阶,三阶的方法来找出他们之间关系的。这里还有一种题型就是结...
08-10
出国留学网考研网为大家提供2017考研数学高数4大定理证明,更多考研资讯请关注我们网站的更新!
2017考研数学高数4大定理证明
1、微分中值定理的证明
这一部分内容比较丰富,包括费马引理、罗尔定理、拉格朗日定理、柯西定理和泰勒中值定理。除泰勒中值定理外,其它定理要求会证。
费马引理的条件有两个:1.f'(x0)存在2. f(x0)为f(x)的极值,结论为f'(x0)=0。考虑函数在一点的导数,用什么方法?自然想到导数定义。我们可以按照导数定义写出f'(x0)的极限形式。往下如何推理?关键要看第二个条件怎么用。“f(x0)为f(x)的极值”翻译成数学语言即f(x) -f(x0)<0(或>0),对x0的某去心邻域成立。结合导数定义式中函数部分表达式,不难想到考虑函数部分的正负号。若能得出函数部分的符号,如何得到极限值的符号呢?极限的保号性是个桥梁。
费马引理中的“引理”包含着引出其它定理之意。那么它引出的定理就是我们下面要讨论的罗尔定理。若在微分中值定理这部分推举一个考频最高的,那罗尔定理当之无愧。该定理的条件和结论想必各位都比较熟悉。条件有三:“闭区间连续”、“开区间可导”和“端值相等”,结论是在开区间存在一点(即所谓的中值),使得函数在该点的导数为0。该定理的证明不好理解,需认真体会:条件怎么用?如何和结论建立联系?当然,我们现在讨论该定理的证明是“马后炮”式的:已经有了证明过程,我们看看怎么去理解掌握。如果在罗尔生活的时代,证出该定理,那可是十足的创新,是要流芳百世的。
闲言少叙,言归正传。既然我们讨论费马引理的作用是要引出罗尔定理,那么罗尔定理的证明过程中就要用到费马引理。我们对比这两个定理的结论,不难发现是一致的:都是函数在一点的导数为0。话说到这,可能有同学要说:罗尔定理的证明并不难呀,由费马引理得结论不就行了。大方向对,但过程没这么简单。起码要说清一点:费马引理的条件是否满足,为什么满足?
前面提过费马引理的条件有两个——“可导”和“取极值”,“可导”不难判断是成立的,那么“取极值”呢?似乎不能由条件直接得到。那么我们看看哪个条件可能和极值产生联系。注意到罗尔定理的第一个条件是函数在闭区间上连续。我们知道闭区间上的连续函数有很好的性质,哪条性质和极值有联系呢?不难想到最值定理。那么最值和极值是什么关系?这个点需要想清楚,因为直接影响下面推理的走向。结论是:若最值取在区间内部,则最值为极值;若最值均取在区间端点,则最值不为极值。那么接下来,分两种情况讨论即可:若最值取在区间内部,此种情况下费马引理条件完全成立,不难得出结论;若最值均取在区间端点,注意到已知条件第三条告诉我们端点函数值相等,由此推出函数在整个闭区间上的最大值和最小值相等,这意味着函数在整个区间的表达式恒为常数,那在开区间上任取一点都能使结论成立。
拉格朗日定理和柯西定理是用罗尔定理证出来的。掌握这两个定理的证明有一箭双雕的效果:真题中直接考过拉格朗日定理的证明,若再考这些原定理,那自然驾轻就熟;此外,这两个的定理的证明过程中体现出来的基本思路,适用于证其它结论。
以拉格朗日定理的证明为例,既然用罗尔定理证,那我们对比一下两个定理的结论。罗尔定理的结论等号右侧为零。我们可以考虑在草稿纸上对拉格朗日定理的结论作...
02-11
以下《剖析2015年考研高等数学复习》由出国留学网考研频道为您精心提供,欢迎大家阅读参考。
2013年9月13日,教育部考试中心公布了2014年的考试大纲,新的考试大纲和2013年的考试大纲没有任何的区别,这跟我们之前的预测是一样的。事实上,考研考到现在,经历二十多年,数学大纲进行了多次的修改已趋于稳定,不会再发生大的变化。那么对于正在备考2015年考研的考生,应该如何复习,才能拿到理想的分数呢?在此对高数这一学科的复习给大家一个指导。
第一、 基础阶段要特别重视“三基”
数学满分150分,每年对基础的考查题目占到70%,这无疑对所有考生来讲是非常重要的,所以基础阶段我们要牢牢地掌握“三基”,即基本概念、基本理论、基本方法。但是现在很多考生只是潜意识觉得考研很难,有些学生也总会问考研数学难不难,不知道对知识点该掌握到什么程度,对于一些偏题怪题特别在意甚至还会花时间去钻研一些类似的题目。在这里提醒广大的15考生,考研数学复习是一个循序渐进的过程,每个阶段我们应该把握的重点不同,6月底之前都属于考研复习的一个基础阶段,基础阶段我们的复习目标就是夯实基础,牢固的掌握三基,保证能拿下70%的基础分,不要花过多的精力去做题钻题反而忘了更加重要的基础知识。另一方面,考研三门科目中高数是最容易出难题的,只有对基本概念有深入理解,对基本定理和公式牢牢记住,才能找到解题的突破口和切入点。
第二、 强化阶段要重视题型和解题方法
考研数学除了重视基础,还有一个特点就是题型重复率高,大家将来在2015考研的考场上见到的题
型90%以上都是我们之前见过的,要想取得高分就必须把握考研的重点题型和相应的解题方法。基础阶段打好基础之后,进入暑期,我们就要借助于辅导书去总结重要题型和解题方法,或者借助于强化班讲义掌握这些内容。强化班上,老师会给大家讲解考研数学里所有重难点题型和对应于每种题型的解题方法,并且会有相应的练习题留给大家练习。我们必须对各种题型和方法牢记于心。
第三、 冲刺阶段要重视真题
既然题型的重复率高,我们就一定要重视对真题的研习,真题至少要做两遍,第一遍按年份做,第二
份按章节做。如果还有余力,可以把其他卷种的真题拿过来做一做。通过做真题,握常见的解题方法和技巧。除此之外,对于那些具有很强的综合性、灵活性的题,要特别注重解题思路和技巧的培养。
以上是我对2015考生备考提出的建议,供大家参考。祝愿大家2015考研一帆风顺、金榜题名
10-22
2014年全国硕士研究生入学考试将在2014年1月4日至6日进行,离考试的日子越来越近,面对这科考研必考的重要科目,我们为您准备了“2014考研高数复习方法与时间规划”,希望能对您的考研科目的复习提供有效的帮助。
第一、理解概念掌握定理
数学中有很多概念。概念反映的是事物的本质,弄清楚了它是如何定义的、有什么性质,才能真正地理解一个概念。所有的问题都在理解的基础上才能做好。
定理是一个正确的命题,分为条件和结论两部分。对于定理除了要掌握它的条件和结论以外,还要搞清它的适用范围,做到有的放矢。
第二、教材习题要做熟
要特别提醒学习者的是,课本上的例题都是很典型的,有助于理解概念和掌握定理,要注意不同例题的特点和解法在理解例题的基础上作适量的习题。作题时要善于总结—— 不仅总结方法,也要总结错误。这样,作完之后才会有所收获,才能举一反三。
第三、从宏观上理清脉络
要对所学的知识有个整体的把握,及时总结知识体系,这样不仅可以加深对知识的理解,还会对进一步的学习有所帮助。
高等数学中包括微积分和立体解析几何,级数和常微分方程。其中尤以微积分的内容最为系统且在其他课程中有广泛的应用。微积分的理论,是由牛顿和莱布尼茨完成的。(当然在他们之前就已有微积分的应用,但不够系统)
数学备考一定要有一个复习时间表,也就是要有一个周密可行的计划。按照计划,循序渐进,切忌搞突击,临时抱佛脚。
高等数学复习时间合理安排:
其实数学是基础性学科,解题能力的提高,是一个长期积累的过程,因而复习时间就应适当提前,循序渐进。大致在三、四月分开始着手进行复习,如果数学基础差可以将复习的时间适当提前。复习一定要有一个可行的计划,通过计划保证复习的进度和效果。一般可以将复习分成四个阶段,每个阶段的起止时间和所要完成的任务考生应给予明确规定,以保证计划的可行性。
第一个阶段是按照考试大纲划分复习范围,在熟悉大纲的基础上对考试必备的基础知识进行系统的复习,了解考研数学的基本内容、重点、难点和特点。这个时间段一般划定为六月前。
第二个阶段是在第一阶段的基础上,做一定数量的题,重点解决解题思路的问题。一般从七月到十月。这个阶段要注意归纳总结,即拿到题后要知道从什么角度,可以分几步去求解,每道题并不要求都要写出完整步骤,只要思路有了,运算过程会做了,可以视情况而灵活掌握,这样省出时间来看更多的题。所选试题可以是历年真题,也可以是书上的练习题,但真题一定要做,而且要严格按照实考的要求去做,把握真题的特点和解题思路及运算步骤。
第三个阶段是实战训练阶段,从十一月到十二月的中旬,这也是临考前非常重要的阶段。考生要对大纲所要求的知识点做最后的梳理,熟记公式,系统地做几套模拟试卷,进行实战训练,自测复习成果。在做模拟题前先要系统记忆掌握基本公式,做题要讲究质量,既要有速度,又要有严格的步骤、格式和计算的准确性。最后阶段是考前冲刺,从十二月下旬到考试。针对在做模拟试题过程中出现的问题作最后的补习,查缺补漏,以便以最佳的状态参加考试。
数学的学习一定要每天都有个进度,每天都要有题量,我们不应该搞题海战术,但是通过做题提高实战经验也是必须...
高等数学是考研数学内容最多的一部分,在数一和数三中,高数部分占总分的56%,在数二中,高数部分占78%,所以高等数学对总体成绩的高低也就显得尤为重要了。》》考研数学复习指导
下面就如何复习考研数学中的高等数学部分给广大考生以下建议:
首先,考生们要明确的是考研数学主要是考根底,包括基本概念、基本理论、基本运算等,假如概念、基本运算不太清晰,运算不太纯熟那你肯定是考不好的。
高数的根底应着重放在极限、导数、不定积分、当然还有定积分、一元微积分的应用,还有中值定理、多元函数微积分、线面积分等内容,这些内容可以看成那三部分内容的联系和应用。另一部分考查的是分析综合能力。因为现在高数中的一些考题很少有单纯考一个知识点的,一般都是多个知识点的综合。如果能够围绕着这几个方面进行有针对性地复习,取得高分也就不再是难事了。
高等数学在复习过程中考生们要注意以下几点:
第一:要明确考试重点,充分把握重点。
比如高数第一章的不定式的极限,我们要充分把握求不定式极限的各种方法,比如利用极限的四则运算、利用洛必达法则等等,另外两个重要的极限也是重点内容;对函数的连续性的探讨也是考试的重点,这要求我们需要充分理解函数连续的定义和掌握判定连续性的方法。
第二:关于导数和微分
其实考试的重点并不是给一个函数求其导数,而是导数的定义,也就是抽象函数的可导性。还要熟练掌握各类多元函数求偏导的方法以及极值与最值的求解与应用问题。
第三:关于积分部分
定积分、分段函数的积分、带绝对值的函数的积分等各种积分的求法都是重要的题型。而且求积分的过程中,特别要留意积分的对称性,利用分段积分去掉绝对值把积分求出来。二重积分的计算,当然数学一里面还包括了三重积分,这里面每年都要考一个题目。另外曲线和曲面积分,这也是必考的重点内容。
第四:微分方程,还有无穷级数,无穷级数的求和等
这两部分内容相对比较孤立,也是难点,需要记忆的公式、定理比较多。微分方程中需要熟练掌握变量可分离的方程、齐次微分方程和一阶线性微分方程的求解方法,以及二阶常系数线性微分方程的求解,对于这些方程要能够判断方程类型,利用对应的求解方法,求解公式,能很快的求解。对于无穷级数,要会判断级数的敛散性,重点掌握幂级数的收敛半径与收敛域的求解,以及求数项级数的和与幂级数的和函数等。
充分把握住这些重点,根据自己的情况有针对性的复习会达到很不错的效果。相信经过有计划有目标的复习,每个考生都可以使自己的综合解题能力有一个质的提高,从而在最后的考试中考出好的成绩。
...考研高等数学推荐访问