出国留学网专题频道等差数列栏目,提供与等差数列相关的所有资讯,希望我们所做的能让您感到满意! 如果一个数列从第二项起,每一项与它的前一项的差等于同一个常数,这个数列就叫做等差数列,这个常数叫做等差数列的公差,公差常用字母d表示。等差数列是常见数列的一种,如果一个数列从第二项起,每一项与它的前一项的差等于同一个常数,这个数列就叫做等差数列,而这个常数叫做等差数列的公差,公差常用字母d表示。例如:1,3,5,7,9……1+2(n-1)。等差数列的通项公式为:an=a1+(n-1)d(1)前n项和公式为:na1+n(n-1)d/2或Sn=n(a1+an)/2。注意:以上n均属于正整数。
04-21
高中数学也是有一定的难度,特别是等差数列求和公式的相关知识点,有些朋友还是不知道等差数列求和方法,今天就让出国留学网来告诉大家等差数列求和公式方法。
等差数列是常见数列的一种,可以用AP表示,如果一个数列从第二项起,每一项与它的前一项的差等于同一个常数,这个数列就叫做等差数列,而这个常数叫做等差数列的公差,公差常用字母d表示。例如:1,3,5,7,9……(2n-1)。等差数列{an}的通项公式为:an=a1+(n-1)d。前n项和公式为:Sn=n*a1+n(n-1)d/2或Sn=n(a1+an)/2。注意: 以上整数。
等差数列求和:Sn=n*a1+n(n-1)d/2或Sn=n(a1+an)/2. 等差数列是常见数列的一种,可以用AP表示,假如一个数列从第二项起,每一项与它的前一项的差等于同一个常数,这个数列就叫做等差数列,而这个常数叫做等差数列的公差,公差常用字母d表示。
末项=首项+(项数-1)×公差;
项数=(末项-首项)÷公差+1;
首项=末项-(项数-1)×公差;
和=(首项+末项)×项数÷2;
末项:最后一位数;
首项:第一位数;
项数:一共有几位数;
和:求一共数的总和;
在通项公式可以看出,a(n)是n的一次函数(d≠0)或常数函数(d=0),(n,an)排在一条直线上,由前n项和公式知,S(n)是n的二次函数(d≠0)或一次函数(d=0,a1≠0),且常数项为0.
在等差数列的定义、通项公式,前n项和公式还可推出:a(1)+a(n)=a(2)+a(n-1)=a(3)+a(n-2)=…=a(k)+a(n-k+1),(类似:p(1)+p(n)=p(2)+p(n-1)=p(3)+p(n-2)=...=p(k)+p(n-k+1)),k∈{1,2,…,n}.
如m,n,p,q∈N*,且m+n=p+q,则有a(m)+a(n)=a(p)+a(q),S(2n-1)=(2n-1)*a(n),S(2n+1)=(2n+1)*a(n+1),S(k),S(2k)-S(k),S(3k)-S(2k),…,S(n)*k-S(n-1)*k…成等差数列,等等。若m+n=2p,则a(m)+a(n)=2*a(p).
证明:p(m)+p(n)=b(0)+b(1)*m+b(0)+b(1)*n=2*b(0)+b(1)*(m+n);p(p)+p(q)=b(0)+b(1)*p+b(0)+b(1)*q=2*b(0)+b(1)*(p+q);因为m+n=p+q,所以p(m)+p(n)=p(p)+p.
看完上面文章所介绍的等差数列求和公式内容之后,不知道大家看不看的懂这些知识,如果你还有不明白的地方的话,那就找老师来请教一下吧。
推荐阅读:
11-13
等差数列是高中数学一个重要的知识点,也是考试中经常出现的一个考点。下面是由出国留学网编辑为大家整理的“等差数列求和公式怎么推导 有哪些推导方法”,仅供参考,欢迎大家阅读本文。
等差数列求和公式推导过程:
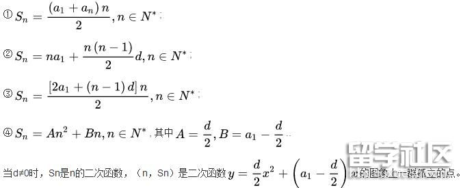
设首项为a1 , 末项为an , 项数为n , 公差为 d , 前 n项和为Sn , 则有:Sn=(a1+an)n/2 ;Sn=na1+n(n-1)d/2(d为公差)
当d≠0时,Sn是n的二次函数,(n,Sn)是二次函数 的图象上一群孤立的点。利用其几何意义可求前n项和Sn的最值。
注意:公式一二三事实上是等价的,在公式一中不必要求公差等于一。
求和推导 证明:由题意得: Sn=a1+a2+a3+。。。+an①
Sn=an+a(n-1)+a(n-2)+。。。+a1②
①+②得: 2Sn=[a1+an]+[a2+a(n-1)]+[a3+a(n-2)]+...+[a1+an](当n为偶数时)
Sn={[a1+an]+[a2+a(n-1)]+[a3+a(n-2)]+...+[a1+an]}/2
Sn=n(A1+An)/2 (a1,an,可以用a1+(n-1)d这种形式表示可以发现括号里面的数都是一个定值,即(A1+An)
拓展阅读:等比数列的五个基本公式
(1)等比数列的通项公式是:
An=A1×q^(n-1)
若通项公式变形为an=a1/q*q^n(n∈N*),当q>0时,则可把an看作自变量n的函数,点(n,an)是曲线y=a1/q*q^x上的一群孤立的点。
(2) 任意两项am,an的关系为an=am·q^(n-m)
(3)从等比数列的定义、通项公式、前n项和公式可以推出:
a1·an=a2·an-1=a3·an-2=…=ak·an-k+1,k∈{1,2,…,n}
(4)等比中项:aq·ap=ar^2,ar则为ap,aq等比中项。
(5) 等比求和:Sn=a1+a2+a3+.......+an
①当q≠1时,Sn=a1(1-q^n)/(1-q)或Sn=(a1-an×q)÷(1-q)
②当q=1时, Sn=n×a1(q=1)
记πn=a1·a2…an,则有π2n-1=(an)2n-1,π2n+1=(an+1)2n+1
...
等差数列是数学中一个很重要的知识点,也是一个十分常见的考点。下面是由出国留学网编辑为大家整理的“等差数列前n项和公式推导”,仅供参考,欢迎大家阅读本文。
等差数列求和公式



推导过程
(1)从通项公式可以看出,a(n)是n的一次函数(d≠0)或常数函数(d=0),(n,an)排在一条直线上,由前n项和公式知,S(n)是n的二次函数(d≠0)或一次函数(d=0,a1≠0),且常数项为0。
(2)从等差数列的定义、通项公式,前n项和公式还可推出:a(1)+a(n)=a(2)+a(n-1)=a(3)+a(n-2)=…=a(k)+a(n-k+1),(类似:p(1)+p(n)=p(2)+p(n-1)=p(3)+p(n-2)=。。。=p(k)+p(n-k+1)),k∈{1,2,…,n}。
(3)若m,n,p,q∈N*,且m+n=p+q,则有a(m)+a(n)=a(p)+a(q),S(2n-1)=(2n-1)*a(n),S(2n+1)=(2n+1)*a(n+1),S(k),S(2k)-S(k),S(3k)-S(2k),…,S(n)*k-S(n-1)*k…成等差数列,等等。若m+n=2p,则a(m)+a(n)=2*a(p)。
...11-05
在遇到等差数列的题目时,一定要仔细观察数列之间的规律,利用公式解题。下面是由出国留学网编辑为大家整理的“等差数列求和公式以及推导所用的方法”,仅供参考,欢迎大家阅读本文。
求和公式:
1、等差数列基本公式:末项=首项+(项数-1)*公差项数=(末项-首项)÷公差+1首项=末项-(项数-1)*公差和=(首项+末项)*项数÷2末项:最后一位数首项:第一位数项数:一共有几位数和:求一共数的总和。
2、Sn=na(n+1)/2n为奇数
sn=n/2(An/2+An/2+1)n为偶数
3、等差数列如果有奇数项,那么和就等于中间一项乘以项数,如果有偶数项,和就等于中间两项和乘以项数的一半,这就是中项求和。
4、公差为d的等差数列{an},当n为奇数是时,等差中项为一项,即等差中项等于首尾两项和的二分之一,也等于总和Sn除以项数n。将求和公式代入即可。当n为偶数时,等差中项为中间两项,这两项的和等于首尾两项和,也等于二倍的总和除以项数n。
推导方法:
(1)从通项公式能够看出,a(n)是n的一次函数(d≠0)或常数函数(d=0),(n,an)排在一条直线上,由前n项和公式知,S(n)是n的二次函数(d≠0)或一次函数(d=0,a1≠0),且常数项为0。
(2)从等差数列的概念、通项公式,前n项和公式还可推出:a(1)+a(n)=a(2)+a(n-1)=a(3)+a(n-2)=…=a(k)+a(n-k+1),(类似:p(1)+p(n)=p(2)+p(n-1)=p(3)+p(n-2)=。。。=p(k)+p(n-k+1)),k∈{1,2,…,n}。
(3)若m,n,p,q∈N*,且m+n=p+q,则有a(m)+a(n)=a(p)+a(q),S(2n-1)=(2n-1)*a(n),S(2n+1)=(2n+1)*a(n+1),S(k),S(2k)-S(k),S(3k)-S(2k),…,S(n)*k-S(n-1)*k…成等差数列,等等。若m+n=2p,则a(m)+a(n)=2*a(p)。
证明:p(m)+p(n)=b(0)+b(1)*m+b(0)+b(1)*n=2*b(0)+b(1)*(m+n);p(p)+p(q)=b(0)+b(1)*p+b(0)+b(1)*q=2*b(0)+b(1)*(p+q);由于m+n=p+q,因此p(m)+p(n)=p(p)+p。
...
等差数列求和怎么算呢?公式又有哪些呢?同学们快来和小编一起看看吧。下面是由出国留学网小编为大家整理的“等差数列求和公式是什么”,仅供参考,欢迎大家阅读。
等差数列求和公式
公式: Sn=(a1+an)n/2
Sn=na1+n(n-1)d/2; (d为公差)
Sn=An2+Bn; A=d/2,B=a1-(d/2)
和为 Sn,首项 a1,末项 an,公差d,项数n,
通项:
首项=2×和÷项数-末项;
末项=2×和÷项数-首项;
末项=首项+(项数-1)×公差;
项数=(末项-首项)(除以)/ 公差+1;
性质:
若 m、n、p、q∈N,
①若m+n=p+q,则am+an=ap+aq,
②若m+n=2q,则am+an=2aq,
注意:上述公式中an表示等差数列的第n项。
拓展阅读:等差数列推论
(1)从通项公式可以看出,a(n)是n的一次函数(d≠0)或常数函数(d=0),(n,an)排在一条直线上,由前n项和公式知,S(n)是n的二次函数(d≠0)或一次函数(d=0,a1≠0),且常数项为0。
(2)从等差数列的定义、通项公式,前n项和公式还可推出:a(1)+a(n)=a(2)+a(n-1)=a(3)+a(n-2)=…=a(k)+a(n-k+1),(类似:p(1)+p(n)=p(2)+p(n-1)=p(3)+p(n-2)=。。。=p(k)+p(n-k+1)),k∈{1,2,…,n}。
(3)若m,n,p,q∈N*,且m+n=p+q,则有a(m)+a(n)=a(p)+a(q),S(2n-1)=(2n-1)*a(n),S(2n+1)=(2n+1)*a(n+1),S(k),S(2k)-S(k),S(3k)-S(2k),…,S(n)*k-S(n-1)*k…成等差数列,等等。若m+n=2p,则a(m)+a(n)=2*a(p)。
证明:p(m)+p(n)=b(0)+b(1)*m+b(0)+b(1)*n=2*b(0)+b(1)*(m+n);p(p)+p(q)=b(0)+b(1)*p+b(0)+b(1)*q=2*b(0)+b(1)*(p+q);因为m+n=p+q,所以p(m)+p(n)=p(p)+p。
(4)其他推论:
①和=(首项+末项)×项数÷2;
②项数=(末项-首项)÷公差+1;
③首项=2x和÷项数-末项或末项-公差×(项数-1);
④末项=2x和÷项数-首项;
⑤末项=首项+(项数-1)×公差;
⑥2(前2n项和-前n项和)=前n项和+前3n项和-前2n项和。
...08-04
等差数列前n项和公式推导是怎样的呢?感兴趣的小伙伴快来和小编一起看看吧。下面是由出国留学网小编为大家整理的“等差数列前n项和公式推导”,仅供参考,欢迎大家阅读。
等差数列前n项和公式推导
1.Sn=a1+a2+......an-1+an也可写成
Sn=an+an-1+......a2+a1
两式相加得:
2Sn=(a1+an)+(a2+an-1)+......(an+a1)
=n(a1+an)
所以Sn=[n(a1+an)]/2。
2.如果已知等差数列的首项为a1,公差为d,项数为n,
则 an=a1+(n-1)d代入公式公式一得,
Sn=na1+ [n(n+1)d]/2。
拓展阅读:等差数列性质
1.数列为等差数列的重要条件是:数列的前n项和S可以写成S=an^2+bn的形式(其中a、b为常数)。
2.在等差数列中,当项数为2n(n∈N+)时,S偶-S奇=nd,S奇÷S偶=an÷a(n+1);当项数为(2n-1)(n∈N+)时,S奇—S偶=a(中),S奇-S偶=项数*a(中),S奇÷S偶=n÷(n-1)。
3.若数列为等差数列,则Sn,S2n-Sn,S3n-S2n,…仍然成等差数列,公差为k^2d。
4.若数列{an}与{bn}均为等差数列,且前n项和分别是Sn和Tn,则am/bm=S2m-1/T2m-1。
5.在等差数列中,S=a,S=b(n>m),则S=(a-b)。
6.等差数列中,是n的一次函数,且点(n,)均在直线y=x+(a-)上。
7.记等差数列的前n项和为S.①若a>0,公差d<0,则当a≥0且an+1≤0时,S最大;②若a<0,公差d>0,则当a≤0且an+1≥0时,S最小。
8.若等差数列S(p)=q,S(q)=p,则S(p+q)=-(p+q)。
...
等差数列是高中数学的重点之一,那么等差数列求和公式有哪些呢?快来和小编一起看看吧。下面是由出国留学网小编为大家整理的“等差数列求和公式有哪些”,仅供参考,欢迎大家阅读。
公式法
an=a1+(n-1)d。
前n项和公式为:Sn=na1+n(n-1)d/2。
若公差d=1时:Sn=(a1+an)n/2;
若m+n=p+q则:存在am+an=ap+aq;
若m+n=2p则:am+an=2ap。
以上n均为正整数。
倒序相加法
这是推导等差数列的前n项和公式时所用的方法,就是将一个数列倒过来排列(反序),再把它与原数列相加,就可以得到n个(a1+an)。
Sn =a1+ a2+ a3+...... +an。
Sn =an+ an-1+an-2...... +a1。
上下相加得Sn=(a1+an)n/2。
分组法
有一类数列,既不是等差数列,也不是等比数列,若将这类数列适当拆开,可分为几个等差、等比或常见的数列,然后分别求和,再将其合并即可。
例如:an=2n+n-1,可看做是2n与n-1的和;
Sn=a1+a2+...+an
=2+0+22+1+23+2+...+2n+n-1
=(2+22+...+2n)+(0+1+...+n-1)
=2(2n-1)/(2-1)+(0+n-1)n/2
=2n+1+n(n-1)/2-2
观察法
观察法,是通过观察题目中数字的变化规律及位置特点,条件与结论之间的关系,题目的结构特点及图形的特征,从而发现题目中的数量关系,把题目阶段解答出来的一种解题方法。观察要有次序,要看的仔细、真切、在观察中要动脑,要想出道理、找出规律。
假设法
当遇到一些条件少、无法下手的题目时,我们可假设一些简单好算的数量,或将运动变化的问题假设或静止特殊的问题;对条件多、无法理清头绪的题目,将其中几个不同的条件假设相同等等,这样将会冲破常规思维的禁锢,获得巧解,这也是灵活应用极端化的策略。
代数法
在解答数学问题时,用字母代替未知数,根据等量关系列出方程,从而求出结果,这种方法称为代数法。学会用代数法解题,好比掌握了解题的金钥匙。
整形结合
在非常有趣的数学学科中“数”与“形”就像一对形影不离的亲兄弟,几乎所有的数量关系或数学规律都可以用直观的示意图来反映。正如著名数学家华罗庚所言:“数缺形时少直观,形少数时难人数”,解题时如果能用到数形结合的策略分析解答,就会充分发挥“数”与“形”的互助作用,使问题非常直观、易懂、收到不解自明的效果。
逆推法
等差数列求和方法同学们总结过吗?如果没有请来小编这里瞧瞧。下面是由出国留学网小编为大家整理的“等差数列求和方法总结”,仅供参考,欢迎大家阅读。
一.用倒序相加法求数列的前n项和
如果一个数列{an},与首末项等距的两项之和等于首末两项之和,可采用把正着写与倒着写的两个和式相加,就得到一个常数列的`和,这一求和方法称为倒序相加法。我们在学知识时,不但要知其果,更要索其因,知识的得出过程是知识的源头,也是研究同一类知识的工具,例如:等差数列前n项和公式的推导,用的就是“倒序相加法”。
例题1:设等差数列{an},公差为d,求证:{an}的前n项和Sn=n(a1+an)/2
解:Sn=a1+a2+a3+...+an ①
倒序得:Sn=an+an-1+an-2+…+a1 ②
①+②得:2Sn=(a1+an)+(a2+an-1)+(a3+an-2)+…+(an+a1)
又∵a1+an=a2+an-1=a3+an-2=…=an+a1
∴2Sn=n(a2+an) Sn=n(a1+an)/2
二.用公式法求数列的前n项和
对等差数列、等比数列,求前n项和Sn可直接用等差、等比数列的前n项和公式进行求解。运用公式求解的注意事项:首先要注意公式的应用范围,确定公式适用于这个数列之后,再计算。
三.用裂项相消法求数列的前n项和
裂项相消法是将数列的一项拆成两项或多项,使得前后项相抵消,留下有限项,从而求出数列的前n项和。
四.用错位相减法求数列的前n项和
错位相减法是一种常用的数列求和方法,应用于等比数列与等差数列相乘的形式。即若在数列{an·bn}中,{an}成等差数列,{bn}成等比数列,在和式的两边同乘以公比,再与原式错位相减整理后即可以求出前n项和。
五.用迭加法求数列的前n项和
迭加法主要应用于数列{an}满足an+1=an+f(n),其中f(n)是等差数列或等比数列的条件下,可把这个式子变成an+1-an=f(n),代入各项,得到一系列式子,把所有的式子加到一起,经过整理,可求出an ,从而求出Sn。
六.用分组求和法求数列的前n项和
分组求和法就是对一类既不是等差数列,也不是等比数列的数列,若将这类数列适当拆开,可分为几个等差、等比或常见的数列,然后分别求和,再将其合并。
七.用构造法求数列的前n项和
构造法就是先根据数列的结构及特征进行分析,找出数列的通项的特征,构造出我们熟知的基本数列的通项的特征形式,从而求出数列的前n项和。
等比数列:
若q=1 则S=n*a1
若q≠1
推倒过程:
S=a1+a1*q+a1*q^2+……+a1*q^(n-1)
等式两边同时乘q
...
小学的等差数列求和公式,同学们还有印象吗?如果没有了,请来小编这里瞧瞧。下面是由出国留学网小编为大家整理的“等差数列求和公式小学”,仅供参考,欢迎大家阅读。
等差数列求和公式小学
等差数列求和公式:Sn=a1*n+[n*(n-1)*d]/2。等差数列是指从第二项起,每一项与它的前一项的差等于同一个常数的一种数列,常用A、P表示。这个常数叫做等差数列的公差,公差常用字母d表示。
数列(sequence of number),是以正整数集(或它的有限子集)为定义域的函数,是一列有序的数。数列中的每一个数都叫做这个数列的项。排在第一位的数称为这个数列的第1项(通常也叫做首项),排在第二位的数称为这个数列的第2项,以此类推,排在第n位的数称为这个数列的第n项,通常用an表示。
拓展阅读:数列求和公式七个方法
数列求和公式七个方法:公式法、列项相消法、错位相减法、分解法、分组法、倒序相加法、特殊数列求和。推导等差数列的前n项和公式的方法是倒序相加法。而且这个方法可以类推到一般情况,只要前n项具有与两端等距离项的和相等的数列这种特征都可用这种方法求和。
三角函数什么时候学
三角函数是初中数学九年级的内容。包括正弦、余弦和正切.。高中时也会学到,比初中讲的更为详细。三角函数通常定义为包含这个角的直角三角形的两个边的比率,也可以等价的定义为单位圆上的各种线段的长度。
正弦值定义
弦值是在直角三角形中,对边的长比上斜边的长的值。任意锐角的正弦值等于它的余角的余弦值,任意锐角的余弦值等于它的余角的正弦值。正弦sinθ也可以理解为顶角度数为θ的单位等腰三角形与单位等腰直角三角形的面积之比。
sin30°=1╱2,sin45°=√2╱2,sin60°=√3╱2,sin90°=1,sin180°=0,sin0°=0,sin270°=-1
什么是余弦
cos是cosine的简写,表示余弦函数(邻边比斜边),古代说法,正弦是股与例,古代说的“勾三股四弦五”中的“弦”,就是直角三角形中的斜边.股就是人的大腿,长长的,古人称直角三角形中长的那个直角边为“股”;正方的直角三角形,应是大腿站直。正弦是股与弦的比例,余弦是余下的那条直角边与弦的比例。
...04-22
等差数列和等比数列的求和求积公式同学们还有印象吗,如果没有了,快来小编这里瞧瞧。下面是由出国留学网小编为大家整理的“等差数列和等比数列的求和 求积公式”,仅供参考,欢迎大家阅读。
等差数列和等比数列的求和 求积公式
等差数列
通项公式:
an=a1+(n-1)d
前n项和:
Sn=na1+n(n-1)d/2 或 Sn=n(a1+an)/2
前n项积:
Tn=a1^n + b1a1^(n-1)×d + …… + bnd^n
其中b1…bn是另一个数列,表示1…n中1个数、2个数…n个数相乘后的积的和
等比数列
通项公式:
An=A1*q^(n-1)
前n项和:
Sn=[A1(1-q^n)]/(1-q)
前n项积:
Tn=A1^n*q^(n(n-1)/2)
拓展阅读:高考数学等差数列求和公式知识点总结
公式 Sn=(a1+an)n/2
Sn=na1+n(n-1)d/2; (d为公差)
Sn=An2+Bn; A=d/2,B=a1-(d/2)
和为 Sn
首项 a1
末项 an
公差d
项数n
通项
首项=2和项数-末项
末项=2和项数-首项
末项=首项+(项数-1)公差
项数=(末项-首项)(除以)/ 公差+1
公差=如:1+3+5+7+99 公差就是3-1
d=an-a
性质:
若 m、n、p、qN
①若m+n=p+q,则am+an=ap+aq
②若m+n=2q,则am+an=2aq
注意:上述公式中an表示等差数列的第n项。
...等差数列推荐访问